canvas绘图学习:坐标反算

322 阅读8分钟

前言

在canvas绘制箭头的过程中我遇到这样的问题:“我已知线段起点和终点的坐标,想要求线段的方位角和长度”。这实际上就是测量学当中的坐标反算,在这篇博客中我就将简单的介绍一下坐标反算的原理,以及如何使用JS封装一个坐标反算的方法。

1.坐标反算介绍

我们先来看一下坐标反算的概念:

根据直线始点和终点的坐标,计算直线的水平距离和直线的坐标方位角,称为坐标反算。

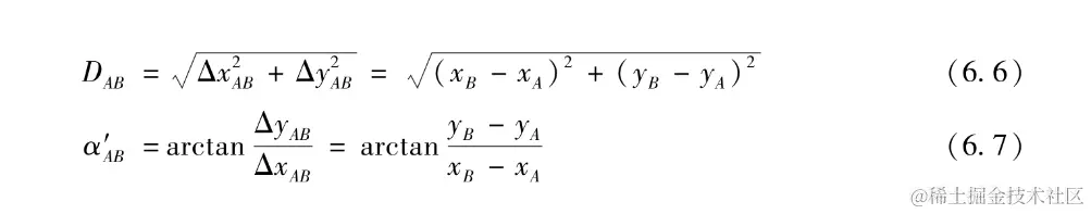
坐标反算的大致公式如下:

其中公式6.6用于计算线段AB的长度,公式6.7用于计算线段的坐标方位角。

2.计算直线长度

(1)勾股定理计算直线长度

直线长度实际上就是根据勾股定理进行计算的,请看下图:

可以看到ABb构成了一个直角三角形,所以根据勾股定理可得以下的公式 ( 其中L就是直线AB的长度 ):

L2 = ∆x2 + ∆y2

(2)计算坐标增量

下一步就是要求∆x、∆y的值,它们是坐标增量,在坐标正算的时候我们也求过,只不过那时我们使用的是三角函数。而在坐标反算中计算坐标增量就比较简单了,直接使用结束点的坐标减去起始点的坐标。

tip:在计算长度的时候相减的顺序并不重要,可以反过来用起始点减结束点;但是在计算方位角时就不能随意更改顺序了,可能就会导致最终的结果是直线AB的反方位角。

∆x = XB - XA

∆y = YB - YA

(3)封装计算长度的方法

此时我们就可以封装计算直线长度的方法了:

// t-坐标反算-计算直线长度
/**
 *
 * @param {Array} from 直线起始点坐标
 * @param {Array} to  直线结束点坐标
 */
function calcLineLength(from, to) {
  return Math.hypot(to[0] - from[0], to[1] - from[1])
}

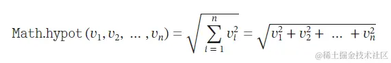
上面的的方法中我用到了 Math.hypot()函数,这个函数会返回所有参数的平方根。

3.计算方位角

(1)反算方位角的步骤

我们知道在坐标正算的过程中是用到了坐标方位角的,坐标正算的详情可以参考我的写的这篇博客:canvas绘图学习:坐标正算-CSDN博客

因此我们只需要将上面的过程倒过来就能求得坐标方位角:

第一步,用结束点坐标减去起始点坐标得到坐标增量

第二步,使用坐标增量和反三角函数计算出象限角

第三步,将象限角转换为方位角

(2)计算坐标增量

这里计算坐标增量的公式与上面一致:

∆x = XB - XA

∆y = YB - YA

在之前的坐标正算、计算直线长度 和现在的计算方位角都涉及到坐标增量的计算。但实际上这三个地方的坐标增量都是略有不同的。

坐标正算使用 cos() 和 sin() 计算出来的坐标增量都是正数
计算直线长度在计算坐标增量时,可以用结束点坐标减起始点坐标;也可以用起始点坐标减结束点坐标。它们计算出来的结果是一致的。通过这种方式计算出来的坐标增量有正负。
计算坐标方位角用结束点坐标减起始点坐标最终计算出来的是直线的正方位角(这是我们需要的);用起始点坐标减结束点坐标最终计算出来的是直线的反方位角。通过这种方式计算出来的坐标增量有正负。例如 :如果用 B点坐标 - A点坐标 计算出来的是 αAB如果用 A点坐标 - B点坐标 计算出来的是 αBA

(3)反三角函数arctan() 计算方位角

之前在坐标正算的时候我们是使用cos(R)sin(R)计算出了 x、y方向上的坐标增量。现在则需要反过来利用两个坐标增量计算出象限角R ,因此这里需要使用反正切函数 arctan(), 它是tan()的反函数。例如: tan(45°) = 1 arctan(1) = 45°。

进而可以推导出如下的公式:

tan(R) = ∆y/∆x arctan(∆y/∆x) = R

这个公式用代码表示就是:

// R表示象限角
const R = Math.atan(deltaY / deltaX) * (180 / Math.PI)

在上一节提到过,在坐标反算中计算出来的坐标增量是有正有负的。因此arctan(∆y/∆x)的取值范围在 π/2 ~ - π/2 之间。下表是几个不同象限的方位角对应的 arctan(∆y/∆x)的值:

坐标方位角arctan(∆y/∆x) 的结果
30°30°
130°-50°
230°50°
330°-30°

上面的结果再取一个绝对值就是我们所需的象限角 R = |arctan(∆y/∆x)|。因此最终的代码如下:

// R表示象限角
const R = Math.abs(Math.atan(deltaY / deltaX) * (180 / Math.PI))

最后在将象限角转换位方位角,转换方式如下:

坐标增量的符号及其所在的象限象限角转方位角
∆x > 0 ∆y > 0(第一象限)α = R
∆x < 0 ∆y > 0(第二象限)α = 180° - R
∆x < 0 ∆y < 0(第三象限)α = R + 180°
∆x > 0 ∆y < 0 (第四象限)α = 360° - R

(4)反三角函数arctan2() 计算方位角

除了arctan() 外 也可以使用 arctan2() 函数来计算方位角。arctan2(y,x)所表达的意思是坐标原点为起点,指向(x,y)的射线在坐标平面上与x轴正方向之间的角的角度。

因此通过arctan2() 函数就可以计算出 起点和终点分别为 (0,0)(∆x,∆y)的直线A2B2 与 x轴正方之间的夹角。而直线A2B2 与 已知的直线AB是平行关系,它们的方位角相同。

arctan2() 计算的结果R2的取值范围在 π ~ - π 之间 ,如果点 (∆x,∆y)落在三四象限则R2为负,点 (∆x,∆y)落在一二象限则R2为正。所以arctan2()所计算出来的角度与方位角的关系如下:

R2的符号以及点 (∆x,∆y)所处的象限与方位角的关系
R2 > 0 ( 一、二象限)α = R2
R2 < 0 (三、四象限)α = R2 + 360°

最终转换成代码就是:

const R2 = Math.atan2(∆y,∆x) * (180 / Math.PI)

if(R2 > 0) {
  α = R2 
}else{
  α = R2 + 360°
}

(5)封装计算方位角的方法

使用arctan()函数计算方位角:

// t-坐标反算-计算方位角arctan()
/**
 *
 * @param {Array} from 直线起始点坐标
 * @param {Array} to  直线结束点坐标
 */
function calcLineBearing(from, to) {
  const deltaX = to[0] - from[0],
    deltaY = to[1] - from[1]

  const qAngle = Math.abs((Math.atan(deltaY / deltaX) * 180) / Math.PI)

  let bearing
  if (deltaX > 0 && deltaY >= 0) {
    bearing = qAngle
  } else if (deltaX <= 0 && deltaY > 0) {
    bearing = 180 - qAngle
  } else if (deltaX < 0 && deltaY <= 0) {
    bearing = 180 + qAngle
  } else if (deltaX >= 0 && deltaY < 0) {
    bearing = 360 - qAngle
  }

  return bearing
}

使用arctan2()函数计算方位角:

// t-坐标反算-计算方位角arctan2()
/**
 *
 * @param {Array} from 直线起始点坐标
 * @param {Array} to  直线结束点坐标
 */
function calcLineBearing2(from, to) {
  const deltaX = to[0] - from[0],
    deltaY = to[1] - from[1]

  const qAngle2 = (Math.atan2(deltaY , deltaX) * 180) / Math.PI

  let bearing
  if (qAngle2 > 0) {
    bearing = qAngle2
  } else {
    bearing = qAngle2 + 360
  }

  return bearing
}

(6)canvas绘图中“方位角”的简便算法

在写这篇文章的过程中我就发现,我所封装的计算方位角的方法太过复杂,这主要是由于 直接用Math.atan()Math.atan2()计算出来的结果并不是我们想要的方位角,因此需要进行转化。

索性在实际的canvas绘图很多时候我们并不一定要计算出直线的方位角,看下面的这两个方法:

  function getBearing(from, to) {
    return Math.atan2(to[1] - from[1], to[0] - from[0])
  }

  function getCoordinate(point, angle, length) {
    return [
      point[0] + Math.cos(angle) * length,
      point[1] + Math.sin(angle) * length,
    ]
  }

getBearing方法就是我调整之后的简化版的计算“方位角”的方法。实际上这个方法的返回值并不是方位角,这一点在前面已经介绍过了。但是我们有这个角度其实就已经足够了。

可以看下面这个例子,已知点 A的坐标、AB的方位角以及AB的长度,就可以使用我在之前封装的坐标正算方法calcCoordinate计算出B点的坐标。

  const A = [900, 500]
  const l = 100
  const angle = 330

  const B = calcCoordinate(A, l, angle)
  console.log(B);// [986.6025403784439, 450]

现在我就使用getBearinggetCoordinate方法对计算出来的B点坐标进行一下验算:

  const angle_check = getBearing(A, B)
  const B_check = getCoordinate(A, angle_check, l)
  console.log(B_check);//[986.6025403784439, 450]

可以看到使用这两个方法getBearinggetCoordinate也能够算出同样的结果。因此在一些情况下可以使用这两个方法代替calcLineBearingcalcCoordinat方法。(特别适合那些已知两个点的坐标,求第三个点坐标的情况)

参考资料

  1. 工程测量(第二版)第六章 直线方位角测量
  2. 【Java AWT 图形界面编程】在 Canvas 画布中绘制箭头图形 ( 数据准备 | 几个关键的计算公式 | 绘制箭头直线和尾翼 )-腾讯云开发者社区-腾讯云
  3. 坐标反算
  4. Math.hypot() - JavaScript | MDN
  5. 知道两点坐标,怎么计算两点方向的方位角_知道两个坐标点怎么算方位角-CSDN博客
  6. 计算两点之间的方位角