leetcode-328. 奇偶链表

96 阅读1分钟

题目要求:

给定单链表的头节点 head ,将所有索引为奇数的节点和索引为偶数的节点分别组合在一起,然后返回重新排序的列表。

第一个节点的索引被认为是 奇数 , 第二个节点的索引为 偶数 ,以此类推。

请注意,偶数组和奇数组内部的相对顺序应该与输入时保持一致。

你必须在 O(1) 的额外空间复杂度和 O(n) 的时间复杂度下解决这个问题。

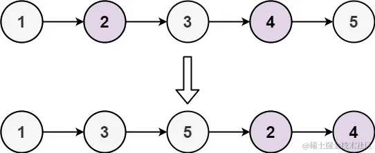
示例 1:
image.png 输入: head = [1,2,3,4,5]
输出: [1,3,5,2,4]

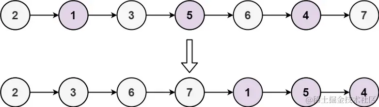
示例 2:
image.png 输入: head = [2,1,3,5,6,4,7]
输出: [2,3,6,7,1,5,4]

提示
n ==  链表中的节点数
0 <= n <= 104
-106 <= Node.val <= 106

链接leetcode.cn/problems/od…

解题思路

主要思路是按照奇数和偶数拆分链表,最后再把偶数链表拼接到奇数链表之后即可。

代码

/**
 * Definition for singly-linked list.
 * type ListNode struct {
 *     Val int
 *     Next *ListNode
 * }
 */
func oddEvenList(head *ListNode) *ListNode {
	if head == nil || head.Next == nil {
		return head
	}
        //偶数链表的头部
	eventHead := head.Next
        //奇数链表的指向
	odd := head
        //偶数链表的指向
	even := eventHead
        //奇数的下一项实在偶数链表之后
	for even != nil && even.Next != nil {
		odd.Next = even.Next
		odd = odd.Next
		even.Next = odd.Next
		even = even.Next
	}
        //把偶数链表拼接到奇数链表尾部
	odd.Next = eventHead
	return head
}