11. 盛水最多的容器

51 阅读1分钟

题目描述

11. 盛最多水的容器

题目难度:中等

给定一个长度为 n 的整数数组 height 。有 n 条垂线,第 i 条线的两个端点是 (i, 0) 和 (i, height[i]) 。

找出其中的两条线,使得它们与 x 轴共同构成的容器可以容纳最多的水。

返回容器可以储存的最大水量。

说明: 你不能倾斜容器。

  示例 1:

输入: [1,8,6,2,5,4,8,3,7]
输出: 49 
解释: 图中垂直线代表输入数组 [1,8,6,2,5,4,8,3,7]。在此情况下,容器能够容纳水(表示为蓝色部分)的最大值为 49

示例 2:

输入: height = [1,1]
输出: 1

提示:

  • n == height.length
  • 2 <= n <= 105
  • 0 <= height[i] <= 104

题解

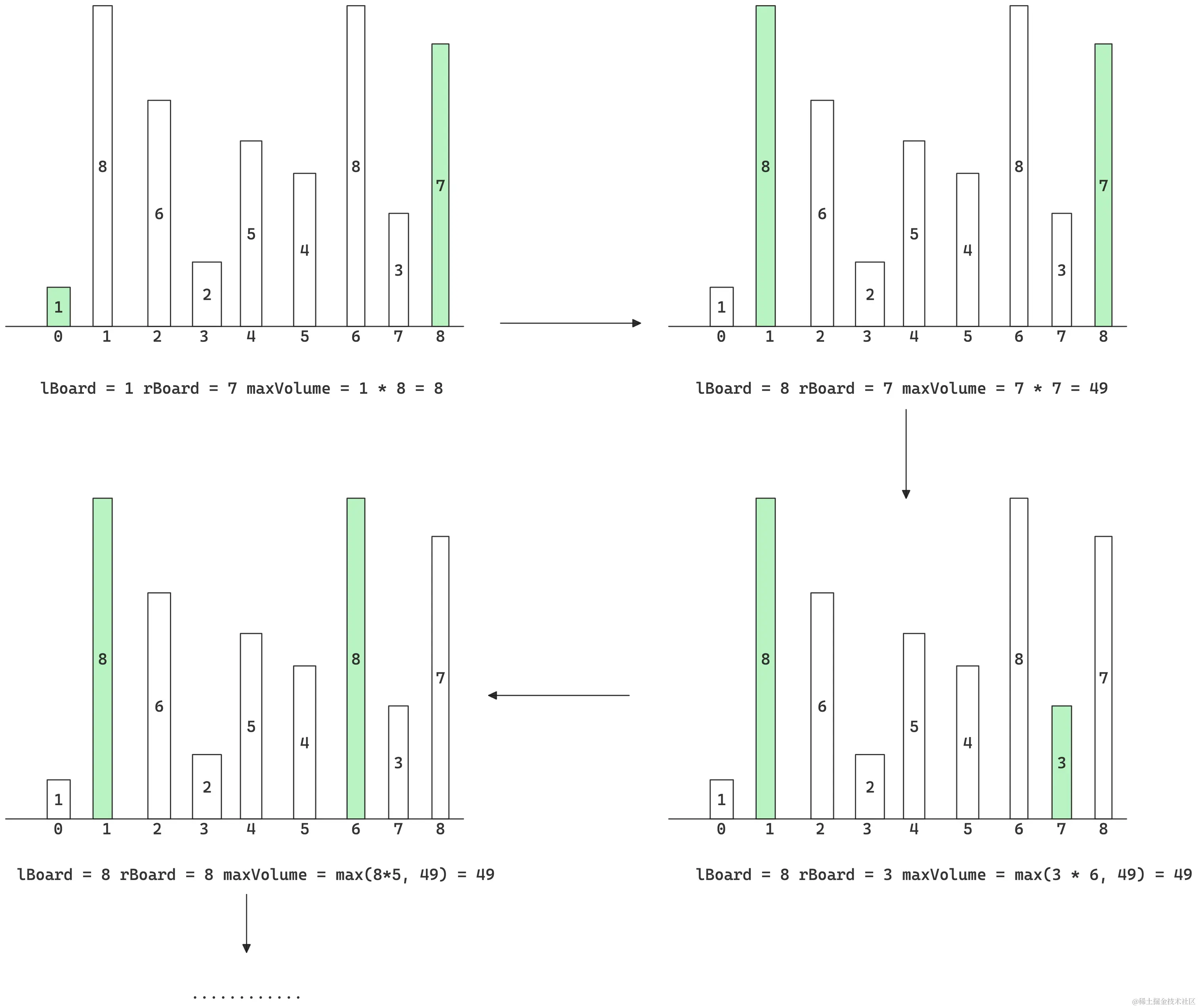
思路:根据木桶原理,木桶的最大容量受制于短板,因此我们可以使用左右指针进行遍历并,记录下此时的最大容量,接着判断左右木板高度,移动较小的木板对应的指针以寻找更大容量。

  1. 左右侧木板高度声明
  2. 进入循环,更新左右木板最大高度,如果形成了更大的容量,更新之
  3. 移动比较矮木板对应的指针

容量计算方式 = 长(左右侧木板距离) * 宽(矮木桶高度)

距离计算举例:假设左侧木板下标为 1,右侧木板下标为 2,两个木板的距离是 1(不需要加 1)

func maxArea(height []int) int {
    var lBoard, rBoard, maxVolume int
    var l, r int
    l, r = 0, len(height)-1
    for l < r {
        lBoard = max(lBoard, height[l])
        rBoard = max(rBoard, height[r])
        if lBoard < rBoard {
            maxVolume = max(maxVolume, (r-l) * lBoard)
            l++
        } else {
            maxVolume = max(maxVolume, (r-l) * rBoard)
            r--
        }
    }
    return maxVolume
}

图解

image.png