LeetCode[题解] 1261. 在受污染的二叉树中查找元素

46 阅读2分钟

首先我们看原题

给出一个满足下述规则的二叉树:

  1. root.val == 0
  2. 如果 treeNode.val == x 且 treeNode.left != null,那么 treeNode.left.val == 2 * x + 1
  3. 如果 treeNode.val == x 且 treeNode.right != null,那么 treeNode.right.val == 2 * x + 2

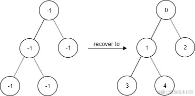
现在这个二叉树受到「污染」,所有的 treeNode.val 都变成了 -1

请你先还原二叉树,然后实现 FindElements 类:

  • FindElements(TreeNode* root) 用受污染的二叉树初始化对象,你需要先把它还原。
  • bool find(int target) 判断目标值 target 是否存在于还原后的二叉树中并返回结果。

 

示例 1:

输入:
["FindElements","find","find"]
[[[-1,null,-1]],[1],[2]]
输出:
[null,false,true]
解释:
FindElements findElements = new FindElements([-1,null,-1]); 
findElements.find(1); // return False 
findElements.find(2); // return True 

示例 2:

输入:
["FindElements","find","find","find"]
[[[-1,-1,-1,-1,-1]],[1],[3],[5]]
输出:
[null,true,true,false]
解释:
FindElements findElements = new FindElements([-1,-1,-1,-1,-1]);
findElements.find(1); // return True
findElements.find(3); // return True
findElements.find(5); // return False

示例 3:

输入:
["FindElements","find","find","find","find"]
[[[-1,null,-1,-1,null,-1]],[2],[3],[4],[5]]
输出:
[null,true,false,false,true]
解释:
FindElements findElements = new FindElements([-1,null,-1,-1,null,-1]);
findElements.find(2); // return True
findElements.find(3); // return False
findElements.find(4); // return False
findElements.find(5); // return True

 

提示:

  • TreeNode.val == -1
  • 二叉树的高度不超过 20
  • 节点的总数在 [1, 10^4] 之间
  • 调用 find() 的总次数在 [1, 10^4] 之间
  • 0 <= target <= 10^6

 

题解:

通过题目描述,我们知道我们首先要将树的原貌恢复出来;

1. 那怎么恢复树的原貌呢?

根据受污染的树的结构,我们可以知道树的结构(形状);然后我们根据题目的说明,原先的树是满足如下条件的:

 

- ​​root.val == 0​

- 如果 ​​treeNode.val == x​​​ 且 ​​treeNode.left != null​​​,那么 ​​treeNode.left.val == 2 * x + 1​

- 如果 ​​treeNode.val == x​​​ 且 ​​treeNode.right != null​​​,那么 ​​treeNode.right.val == 2 * x + 2​

 

知道这个规则之后,我们就可以计算出该树上每个节点原始值为多少。

 

2. 知道的树的结构以及每个节点的原始值,那具体怎么将受污染的树的节点值填充回原来的值的呢?

很简单,我们只需要从头节点开始遍历树,然后再遍历的过程中恢复每个节点的原始值并且记录下来。遍历树的方式有好几种,可以使用深度优先或者广度优先等算法遍历;如下是使用深度优先遍历算法实现的遍历树的一个方法:

public void traversalTree(TreeNode curPoint, int value) {
        valueSet.add(value);
        if (Objects.nonNull(curPoint.left)) {
            traversalTree(curPoint.left, value * 2 + 1);
        }
        if (Objects.nonNull(curPoint.right)) {
            traversalTree(curPoint.right, value * 2 + 2);
        }
    }

如上,我们在遍历的时候同时记录下每个节点值到​​valueSet​​​,然后最终要判断一个值,是否在该树的一个节点上,只需要判断该值是否在​​valueSet​​中,即可。

 

最终代码题解

class FindElements {
    HashSet<Integer> valueSet;

    public FindElements(TreeNode root) {
        valueSet = new HashSet<>();
        traversalTree(root, 0);
    }

    public void traversalTree(TreeNode curPoint, int value) {
        valueSet.add(value);
        if (Objects.nonNull(curPoint.left)) {
            traversalTree(curPoint.left, value * 2 + 1);
        }
        if (Objects.nonNull(curPoint.right)) {
            traversalTree(curPoint.right, value * 2 + 2);
        }
    }

    public boolean find(int target) {
        return valueSet.contains(target);
    }
}