互联网络中计算机是如何连接在一起

308 阅读2分钟

先定个基调,我们只讨论有线连接,而无线连接的原理与此相同。

互联网络中计算机是如何连接在一起的?

当只有2台计算机的时候哦,直接用一根网线将他们连接在一起即可。

当有更多计算机加入的时候,情况就变得复杂了,可能会形成下面这样网线满天飞。

为了解决这个问题,路由器应运而生,而这个路由需要做的事就是确保从一台电脑上发出的一条信息可以到达正确的电脑。一旦加入路由器,计算机网络连接就清晰多了。

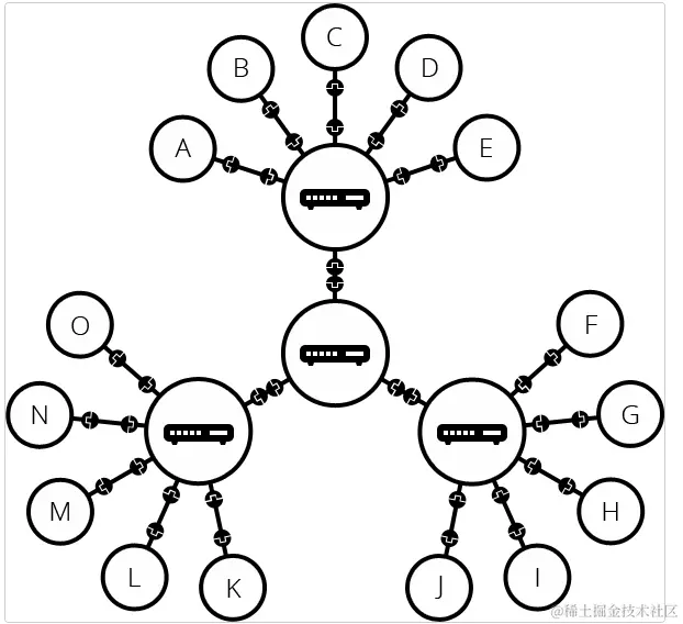
互联网中有成百上千上亿台计算机,此时只需要将路由器相互连接起来,形成下面这种结构。

随着加入的网络越来越多,就会形成网状的连接,就越来越接近我们熟知的互联网了。

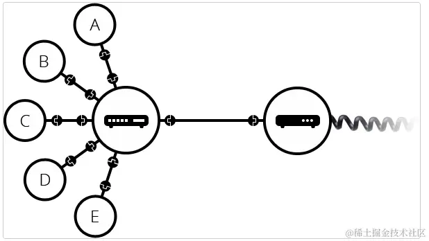
当你需要从你的局域网(LAN)连接到互联网时,我们需要把我们的网络连接到互联网服务提供商(ISP)。当用户发送网络消息时,由用户的路由器发送到 ISP 的网络。ISP 的路由器会根据消息中的目的地 IP 地址,将消息转发到相应的 ISP 或网络。这个过程称为路由。

在你家路由器的连接背后可能是这样子的,在现代家庭和小型企业网络中,路由器和调制解调器通常被组合成一个设备,称为路由器/调制解调器或网关。这种设备允许多个设备(如电脑、手机、智能电视等)通过无线或有线方式连接到局域网,并将该局域网连接到互联网。

参考

# How does the Internet work?