基于Harris角点的室内三维全景图拼接算法matlab仿真

121 阅读3分钟

1.算法运行效果图预览

1.jpeg

2.jpeg

3.jpeg  

2.算法运行软件版本

matlab2022a

 

3.算法理论概述

       在室内三维全景图的构建中,Harris角点检测算法扮演着关键的角色,用于识别场景中的特征点以实现图像间的匹配和对齐。该过程通常包括以下几个步骤:图像获取、角点检测、特征描述、匹配以及基于这些匹配信息的图像拼接。

 

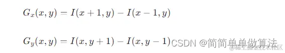
3.1Harris角点检测原理

      对于一个灰度图像 (x,y),我们需要计算每个像素点(x,y) 的梯度强度和方向。通常使用 Sobel 滤波器或其他微分算子来得到水平 Gx​ 和垂直Gy​ 方向上的梯度:

 

5d2e3e9febb6aa46eae5b6d491a80fea_82780907_202403091957300237841523_Expires=1709986050&Signature=pB2CDdhWz4YqQPbN0HbSa2xWzQ0%3D&domain=8.png

 

这里简化了Sobel算子的形式,实际应用中可能需要考虑更大范围的邻域计算。

 

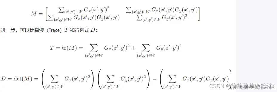
定义图像局部窗口W 内的协方差矩阵(结构张量)为:

 

99d582ad22842a53cd0e0af76a09c992_82780907_202403091956230284817218_Expires=1709985983&Signature=jVSqnF9bGZyDTgW8a7iOCJVDb4k%3D&domain=8.png

 

3.2 Harris响应函数

Harris等人提出的响应函数R 结合了迹和行列式的特性,用于衡量区域是否具有稳定的角点属性:

3c0efba6f7ba776b4b6c425a248bdfc7_82780907_202403091956140191166695_Expires=1709985974&Signature=wtTpbDbpN%2BCjI0Y0FDxUT0fq340%3D&domain=8.png  

其中,λ1​,λ2​ 是协方差矩阵M 的特征值,k 是一个自由参数,通常取 0.04~0.06。当 R 较大时,表示该区域具有较强的角点特征。

 

3.3 角点检测与筛选

        通过对每个像素窗口应用上述公式计算响应值,然后通过阈值处理,找出响应值大于预定阈值的点作为角点候选。进一步,可以采用非极大值抑制去除边缘响应较高的假阳性点。

 

      在室内三维全景图拼接中,首先利用Harris角点检测方法分别从各个相邻视图中找到稳定的特征点。接着,运用如SIFT、SURF等更稳健的特征描述符提取特征点的描述向量,进行两两视图之间的特征匹配。

 

     匹配成功后,通过几何变换(如单应性矩阵H或本质矩阵E)估计不同视图间的关系,从而实现图像对齐。最后,依据对齐结果采用图像融合技术拼接各视角下的图像,形成无缝的室内三维全景图。

 

      由于篇幅限制,这里并未涵盖完整的数学推导和示意图,但在实际操作中,涉及到更多的图像处理技术与优化策略。在可视化方面,可以借助专门的数学排版工具生成对应的数学公式图片,以便更好地理解复杂的矩阵运算和相关概念。

 

 

 

 

4.部分核心程序 `dirs    = 'datasheet/';% 定义文件夹路径 

files   = dir(dirs);% 获取文件夹内的所有文件和子文件夹信息 

files   = files(2:end);% 去除第一个元素

N       = length(files);% 计算文件数量 

Iset    = {};

cnt     = 1;

for i = 1:N% 遍历所有文件 

    if files(i).name(1) ~= '.'

       % 读取图像文件,并将其路径拼接为完整路径 

       im        = imread(strcat(dirs,files(i).name));

       % 调整图像大小为640x640,并将其转换为双精度浮点数,同时归一化到[0,1]范围 

       im        = double(imresize(im, [640, 640]))/255;

       % 将处理后的图像添加到Iset中

       Iset{cnt} = im;

       cnt       = cnt + 1;

    end

end

 

 

img12=func_mix(Iset{1},Iset{2},1);

img34=func_mix(Iset{3},Iset{4},1);

img56=func_mix(Iset{5},Iset{6},0);

img78=func_mix(Iset{7},Iset{8},0);

img789=func_mix(img78,Iset{9},0);

 

img1234=func_mix(img12,img34,0);

img56789=func_mix(img56,img789,0);

 

img1234=func_mix(img12,img34,0);

img123456789=func_mix(img1234,img56789,0);

 

[R,C,K] = size(img123456789);

figure;

imshow(img123456789(0.4R:0.85R,0.1C:0.75C,:));

 

 

 

 

figure;

subplot(231);imshow(img12);

subplot(232);imshow(img34);

subplot(233);imshow(img56);

subplot(234);imshow(img78);

subplot(235);imshow(img789);

subplot(236);imshow(img56789);`