【重点题】leetcode-206. 反转链表

60 阅读1分钟

题目要求:

给你单链表的头节点 head ,请你反转链表,并返回反转后的链表。

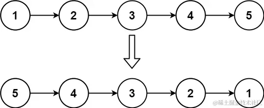
示例 1:
image.png 输入: head = [1,2,3,4,5]
输出: [5,4,3,2,1]

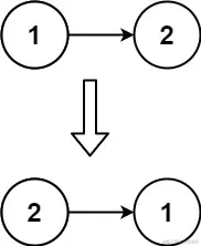
示例 2:
image.png
输入: head = [1,2]
输出: [2,1]

示例 3:
输入: head = []
输出: []

提示
链表中节点的数目范围是 [0, 5000]
-5000 <= Node.val <= 5000

链接leetcode.cn/problems/re…

解题思路

可以使用两种思路来解决,第一种是迭代,第二种是递归。首先展示第一种迭代。

代码

/**
 * Definition for singly-linked list.
 * type ListNode struct {
 *     Val int
 *     Next *ListNode
 * }
 */
func reverseList(head *ListNode) *ListNode {
	// 迭代
	var prev *ListNode
	for head != nil {
		next := head.Next
		head.Next = prev
		prev = head
		head = next
	}
	return prev
}

第二种是递归,如下

代码

/**
 * Definition for singly-linked list.
 * type ListNode struct {
 *     Val int
 *     Next *ListNode
 * }
 */
func reverseList(head *ListNode) *ListNode {
	if head == nil || head.Next == nil {
		return head
	}
	newHead := reverseList(head.Next)
	// 进行链表的反链接
	head.Next.Next = head
	// 将之前正向链接删除
	head.Next = nil
	return newHead
}