二叉树的垂序遍历

380 阅读4分钟

说在前面

🎈二叉树的遍历方式有很多,前序遍历中序遍历后序遍历层序遍历,这几种遍历方法相信大家都已经很熟悉了吧,那么垂序遍历你们有没有听说过呢?今天让我们一起来看看怎么对二叉树进行垂序遍历。

垂序遍历定义

对位于 (row, col) 的每个结点而言,其左右子结点分别位于 (row + 1, col - 1) 和 (row + 1, col + 1) 。树的根结点位于 (0, 0) 。

二叉树的 垂序遍历 从最左边的列开始直到最右边的列结束,按列索引每一列上的所有结点,形成一个按出现位置从上到下排序的有序列表。如果同行同列上有多个结点,则按结点的值从小到大进行排序。

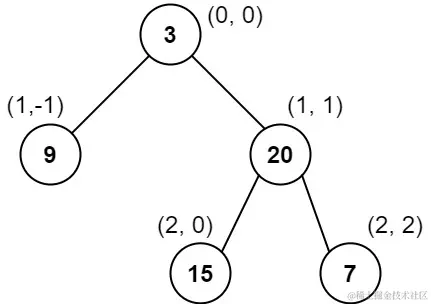
示例 1:

输入: root = [3,9,20,null,null,15,7]
输出: [[9],[3,15],[20],[7]]
解释:
列 -1 :只有结点 9 在此列中。
列  0 :只有结点 3 和 15 在此列中,按从上到下顺序。
列  1 :只有结点 20 在此列中。
列  2 :只有结点 7 在此列中。

示例 2:

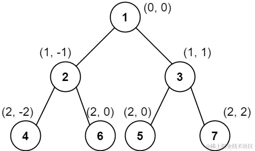
输入: root = [1,2,3,4,5,6,7]
输出: [[4],[2],[1,5,6],[3],[7]]
解释:
列 -2 :只有结点 4 在此列中。
列 -1 :只有结点 2 在此列中。
列  0 :结点 1 、5 和 6 都在此列中。
          1 在上面,所以它出现在前面。
          5 和 6 位置都是 (2, 0) ,所以按值从小到大排序,5 在 6 的前面。
列  1 :只有结点 3 在此列中。
列  2 :只有结点 7 在此列中。

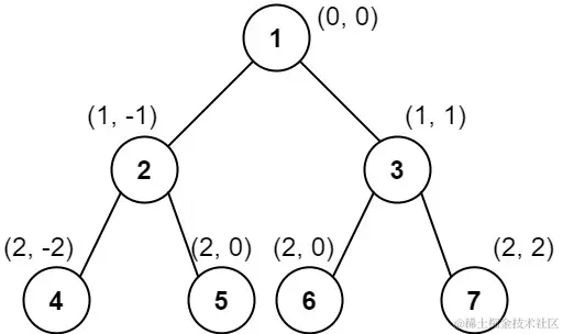
示例 3:

输入: root = [1,2,3,4,6,5,7]
输出: [[4],[2],[1,5,6],[3],[7]]
解释:
这个示例实际上与示例 2 完全相同,只是结点 5 和 6 在树中的位置发生了交换。
因为 5 和 6 的位置仍然相同,所以答案保持不变,仍然按值从小到大排序。

思路分析

获取二叉树所有节点

首先我们需要获取到二叉树的所有节点,可以在我们已经很熟悉的前序遍历中序遍历后序遍历层序遍历之中随便选择一种。

这里我们使用层序遍历来获取二叉树中的所有节点,在获取节点的过程中记录每一个节点所在的行和列:

根节点初始化行和列定为(0,0),则其左孩子的行列应该为(-1,2),右孩子所在的行列应该为(1,2)

层序遍历大家应该都很熟悉了吧:

  1. 初始化

    • 创建一个队列(Queue)用于存放待访问的节点。
    • 将根节点(如果有的话)加入队列。
  2. 循环遍历

    • 当队列不为空时,执行以下步骤:
      • 从队列中取出一个节点(通常称为 current)。
      • 访问 current 节点,这通常意味着执行一些操作,比如打印节点的值。
      • 如果 current 节点有左子节点,将左子节点加入队列。
      • 如果 current 节点有右子节点,将右子节点加入队列。
  3. 处理子节点

    • 对于每个子节点,重复步骤 2,直到队列为空,这意味着所有层的节点都已被访问。
  4. 结束

    • 当队列为空时,层序遍历完成。
const nodeList = [];
const q = [{ node: root, col: 0, row: 0 }];
while (q.length) {
  const { node, col, row } = q.shift();
  nodeList.push({ val: node.val, col: col, row });
  if (node.left) q.push({ node: node.left, col: col - 1, row: row + 1 });
  if (node.right) q.push({ node: node.right, col: col + 1, row: row + 1 });
}

对获取到的所有节点进行排序

按出现位置从上到下排序,如果同行同列上有多个结点,则按结点的值从小到大进行排序。

nodeList.sort((a, b) => {
  if (a.col === b.col && a.row === b.row) {
    return a.val - b.val;
  }
  return a.col - b.col;
});

将排好序的节点按列进行分组

const res = [[nodeList[0].val]];
for (let i = 1; i < nodeList.length; i++) {
  if (nodeList[i].col !== nodeList[i - 1].col) {
    res.push([]);
  }
  res[res.length - 1].push(nodeList[i].val);
}

完整代码

/**
 * Definition for a binary tree node.
 * function TreeNode(val, left, right) {
 *     this.val = (val===undefined ? 0 : val)
 *     this.left = (left===undefined ? null : left)
 *     this.right = (right===undefined ? null : right)
 * }
 */
/**
 * @param {TreeNode} root
 * @return {number[][]}
 */
var verticalTraversal = function (root) {
  const nodeList = [];
  const q = [{ node: root, row: 0, col: 0 }];
  //获取二叉树节点集合
  while (q.length) {
    const { node, row, col } = q.shift();
    nodeList.push({ val: node.val, row: row, col });
    if (node.left) q.push({ node: node.left, row: row - 1, col: col + 1 });
    if (node.right) q.push({ node: node.right, row: row + 1, col: col + 1 });
  }
  //对二叉树节点进行排序
  nodeList.sort((a, b) => {
    if (a.row === b.row && a.col === b.col) {
      return a.val - b.val;
    }
    return a.row - b.row;
  });
  //对二叉树节点进行分组
  const res = [[nodeList[0].val]];
  for (let i = 1; i < nodeList.length; i++) {
    if (nodeList[i].row !== nodeList[i - 1].row) {
      res.push([]);
    }
    res[res.length - 1].push(nodeList[i].val);
  }
  return res;
};

公众号

关注公众号『前端也能这么有趣』,获取更多有趣内容。

说在后面

🎉 这里是 JYeontu,现在是一名前端工程师,有空会刷刷算法题,平时喜欢打羽毛球 🏸 ,平时也喜欢写些东西,既为自己记录 📋,也希望可以对大家有那么一丢丢的帮助,写的不好望多多谅解 🙇,写错的地方望指出,定会认真改进 😊,偶尔也会在自己的公众号『前端也能这么有趣』发一些比较有趣的文章,有兴趣的也可以关注下。在此谢谢大家的支持,我们下文再见 🙌。