leetcode-872. 叶子相似的树

82 阅读1分钟

题目要求:

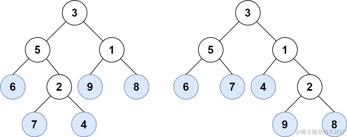
请考虑一棵二叉树上所有的叶子,这些叶子的值按从左到右的顺序排列形成一个 叶值序列image.png 举个例子,如上图所示,给定一棵叶值序列为 (6, 7, 4, 9, 8) 的树。 如果有两棵二叉树的叶值序列是相同,那么我们就认为它们是 叶相似 的。 如果给定的两个根结点分别为 root1 和 root2 的树是叶相似的,则返回 true;否则返回 false 。

示例 1: image.png 输入:
root1 = [3,5,1,6,2,9,8,null,null,7,4]
root2 = [3,5,1,6,7,4,2,null,null,null,null,null,null,9,8]
输出: true

示例 2:

image.png 输入: root1 = [1,2,3], root2 = [1,3,2]
输出: false

提示
给定的两棵树结点数在 [1, 200] 范围内
给定的两棵树上的值在 [0, 200] 范围内

链接leetcode.cn/problems/le…

解题思路

通过深度优先遍历获取root1和root2的叶值序列,之后对叶值序列进行比较(可以先比较长度,之后比较内容)

代码

/**
 * Definition for a binary tree node.
 * type TreeNode struct {
 *     Val int
 *     Left *TreeNode
 *     Right *TreeNode
 * }
 */
func leafSimilar(root1 *TreeNode, root2 *TreeNode) bool {
	vals := make([]int, 0)
	var dfs func(*TreeNode)
	dfs = func(node *TreeNode) {
		if node == nil {
			return
		}
		if node.Left == nil && node.Right == nil {
			vals = append(vals, node.Val)
			return
		}
		dfs(node.Left)
		dfs(node.Right)
	}
	dfs(root1)
	vals1 := make([]int, 0)
	vals1 = append(vals1, vals...)
	vals = []int{}
	dfs(root2)
	if len(vals) != len(vals1) {
		return false
	}
	for i, v := range vals1 {
		if v != vals[i] {
			return false
		}
	}
	return true
}