给你单链表的头节点 head ,请你反转链表,并返回反转后的链表。
示例 1:
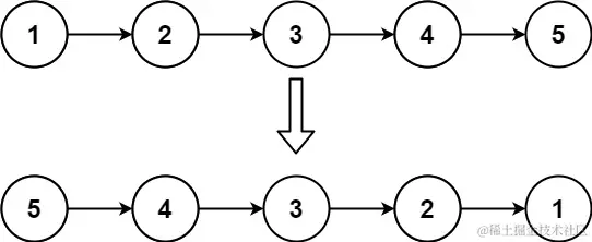
输入: head = [1,2,3,4,5]
输出: [5,4,3,2,1]
示例 2:
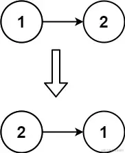
输入: head = [1,2]
输出: [2,1]
示例 3:
输入: head = []
输出: []
给你单链表的头节点 head ,请你反转链表,并返回反转后的链表。
示例 1:
输入: head = [1,2,3,4,5]
输出: [5,4,3,2,1]
示例 2:
输入: head = [1,2]
输出: [2,1]
示例 3:
输入: head = []
输出: []