「力扣」21. 合并两个有序链表

74 阅读2分钟

21. 合并两个有序链表

题目描述

将两个升序链表合并为一个新的 升序 链表并返回。新链表是通过拼接给定的两个链表的所有节点组成的。 

 

示例 1:

输入: l1 = [1,2,4], l2 = [1,3,4]
输出: [1,1,2,3,4,4]

示例 2:

输入: l1 = [], l2 = []
输出: []

示例 3:

输入: l1 = [], l2 = [0]
输出: [0]

 

提示:

  • 两个链表的节点数目范围是 [0, 50]
  • -100 <= Node.val <= 100
  • l1 和 l2 均按 非递减顺序 排列

解法1

  1. 就是说有两个有序链表,将两个链表合并起来,合并后的链表依然有序。
  2. 链表可能是空的。

如何解呢?我们可以创建一个空的链表(哑节点,值随便设置),可以将其认为是一根针,这根针穿链表中小的节点,最后就得到结果了。

通过下图逐步分析:

image.png

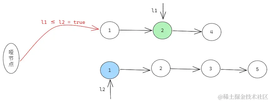
上图中,蓝绿颜色进行对比,可以知道,绿色是更小的(每次都是用l1 <= l2进行比较),所以哑节点的线穿到了绿色上

上图中绿色节点已经使用过,那么l1的指针向后移动一位,如下图所示:

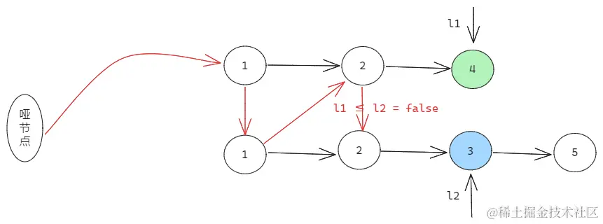
image.png 此时蓝色比绿色小,所以应该使用蓝色,如下图所示:

image.png l2指针后移,得到如下图所示:

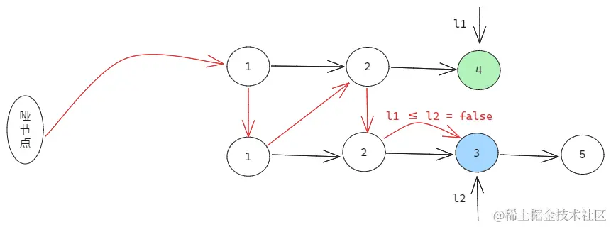
image.png 此时绿色和蓝色值相等,按照l1 <= l2的条件,应该使用绿色作为下一节点,如下图所示:

image.png l1指针后移一位,如下图所示:

image.png 此时蓝色值更小,所以使用蓝色,如下图所示:

image.png l2指针后移以为,如下图所示:

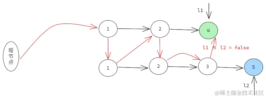
image.png 此时依然是蓝色值更小,所以使用蓝色,如下图所示:

image.png 蓝色l2指针后移一位,如下图所示:

image.png 此时绿色更小,则使用绿色,如下图所示:

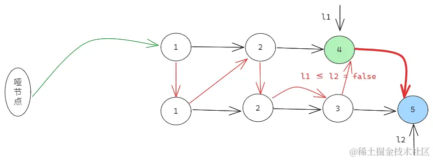
image.png 此时绿色=4已经是l1链表的最后一位,所以不需要向后移动,但是l2并未结束,只需要连接到l2=5即可,如下图所示:

image.png 上图中红线部分就是最终结果。

代码如下:

class Solution {
   public ListNode mergeTwoLists(ListNode list1, ListNode list2) {
        // 定义哑节点,值等于什么无所谓,因为也不用它
        ListNode dummy = new ListNode(-1);
        ListNode p = dummy;
        while (list1 != null && list2 != null) {
            if (list1.val <= list2.val) {
                p.next = list1;
                list1 = list1.next;
            } else {
                p.next = list2;
                list2 = list2.next;
            }
            p = p.next;
        }
        p.next = list1 == null ? list2 : list1;
        return dummy.next;
    }
}

提交结果:

image.png