基于CNN+LSTM深度学习网络的时间序列预测matlab仿真

251 阅读2分钟

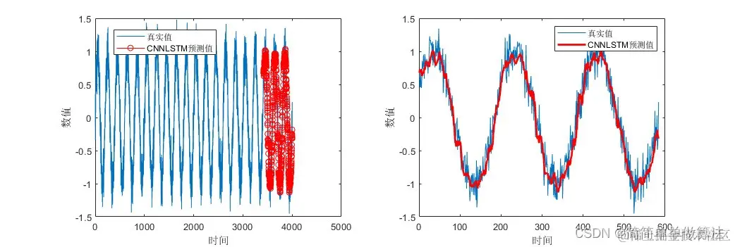
1.算法运行效果图预览

1.png

2.jpeg

3.jpeg  

2.算法运行软件版本

MATLAB2022a

 

3.算法理论概述

       时间序列预测是指利用历史数据来预测未来数据点或数据序列的任务。在时间序列分析中,数据点的顺序和时间间隔都是重要的信息。CNN+LSTM网络结合了卷积神经网络(CNN)的特征提取能力和长短时记忆网络(LSTM)的时序建模能力,用于处理具有复杂空间和时间依赖性的时间序列数据。

 

3.1 卷积神经网络(CNN)

        CNN通过卷积层和池化层提取输入数据的局部特征。对于时间序列数据,CNN可以有效地捕获数据中的短期模式和局部依赖关系。

 

       卷积层的操作可以表示为:

f40fa99242654be7802bf5ac883e2221_82780907_202403011251410943137916_Expires=1709269301&Signature=hXHcYRQ%2BOYwbczVAXzzLgpowXt0%3D&domain=8.png

 

         其中,Zl表示第l层的卷积输出,Wl和bl分别是第l层的权重和偏置,Xl−1是第l−1层的输出,∗表示卷积操作。

 

激活函数(如ReLU)用于增加非线性:

7e89a052ec7afea398f1d63fda8920ff_82780907_202403011251290207589204_Expires=1709269289&Signature=D9U3jYiwpmDPpiPIkXpJQrRJRF8%3D&domain=8.png  

其中,Al是第l层的激活输出,f是激活函数。

 

3.2 长短时记忆网络(LSTM)

        LSTM是一种特殊的循环神经网络(RNN),通过引入门控机制和记忆单元来解决长期依赖问题。在时间序列预测中,LSTM可以捕获数据中的长期模式和时序关系。

 

        LSTM的单元状态更新可以表示为:

8b57699fc1314bf8a03c598c632df0ee_82780907_202403011250460191576324_Expires=1709269246&Signature=5kz0MG6b6lQiHakodiBRn3SCB0I%3D&domain=8.png  

        其中,ft​、it​和ot​分别是遗忘门、输入门和输出门的输出,C~t​是候选单元状态,Ct​是单元状态,ht​是隐藏状态,W和b是权重和偏置,σ是sigmoid激活函数,∘表示逐元素乘法。

 

3.3 CNN+LSTM网络结构

       在CNN+LSTM网络中,CNN首先用于提取输入时间序列的局部特征,然后将提取的特征作为LSTM的输入,LSTM进一步捕获时序关系并进行预测。

 

 

 

 

4.部分核心程序 `function layers=func_CNN_LSTM_layer(Nfeat,Nfilter,Nout)

 

layers = [

% 输入特征

sequenceInputLayer([Nfeat 1 1])

sequenceFoldingLayer('Name','fold')

% CNN特征提取

convolution2dLayer(Nfilter,32,'Padding','same','WeightsInitializer','he','Name','conv','DilationFactor',1);

batchNormalizationLayer

eluLayer

averagePooling2dLayer(1,'Stride',Nfilter)

% 展开层

sequenceUnfoldingLayer('Name','unfold')

% 平滑层

flattenLayer

% LSTM特征学习

lstmLayer(128,'Name','lstm1','RecurrentWeightsInitializer','He','InputWeightsInitializer','He')

dropoutLayer(0.25)

% LSTM输出

lstmLayer(32,'OutputMode',"last",'Name','bil4','RecurrentWeightsInitializer','He','InputWeightsInitializer','He')

dropoutLayer(0.25)

% 全连接层

fullyConnectedLayer(Nout)

regressionLayer

];

 

layers = layerGraph(layers);

layers = connectLayers(layers,'fold/miniBatchSize','unfold/miniBatchSize');`