GLSL 中文手册
基本类型:
| 类型 | 说明 |
|---|---|
| void | 空类型,即不返回任何值 |
| bool | 布尔类型 true,false |
| int | 带符号的整数 signed integer |
| float | 带符号的浮点数 floating scalar |
| vec2, vec3, vec4 | n维浮点数向量 n-component floating point vector |
| bvec2, bvec3, bvec4 | n维布尔向量 Boolean vector |
| ivec2, ivec3, ivec4 | n维整数向量 signed integer vector |
| mat2, mat3, mat4 | 2x2, 3x3, 4x4 浮点数矩阵 float matrix |
| sampler2D | 2D纹理 a 2D texture |
| samplerCube | 盒纹理 cube mapped texture |
基本结构和数组:
| 类型 | 说明 |
|---|---|
| 结构 | struct type-name{} 类似c语言中的 结构体 |
| 数组 | float foo[3] glsl只支持1维数组,数组可以是结构体的成员 |
向量的分量访问:
glsl中的向量(vec2,vec3,vec4)往往有特殊的含义,比如可能代表了一个空间坐标(x,y,z,w),或者代表了一个颜色(r,g,b,a),再或者代表一个纹理坐标(s,t,p,q) 所以glsl提供了一些更人性化的分量访问方式.
vector.xyzw 其中xyzw 可以任意组合
vector.rgba 其中rgba 可以任意组合
vector.stpq 其中rgba 可以任意组合
vec4 v=vec4(1.0,2.0,3.0,1.0);
float x = v.x; //1.0
float x1 = v.r; //1.0
float x2 = v[0]; //1.0
vec3 xyz = v.xyz; //vec3(1.0,2.0,3.0)
vec3 xyz1 = vec(v[0],v[1],v[2]); //vec3(1.0,2.0,3.0)
vec3 rgb = v.rgb; //vec3(1.0,2.0,3.0)
vec2 xyzw = v.xyzw; //vec4(1.0,2.0,3.0,1.0);
vec2 rgba = v.rgba; //vec4(1.0,2.0,3.0,1.0);
运算符:
| 优先级(越小越高) | 运算符 | 说明 | 结合性 |
|---|---|---|---|
| 1 | () | 聚组:a*(b+c) | N/A |
| 2 | [] () . ++ -- | 数组下标__[],方法参数__fun(arg1,arg2,arg3),属性访问__a.b__,自增/减后缀__a++ a--__ | L - R |
| 3 | ++ -- + - ! | 自增/减前缀__++a --a__,正负号(一般正号不写)a ,-a,取反__!false__ | R - L |
| 4 | * / | 乘除数学运算 | L - R |
| 5 | + - | 加减数学运算 | L - R |
| 7 | < > <= >= | 关系运算符 | L - R |
| 8 | == != | 相等性运算符 | L - R |
| 12 | && | 逻辑与 | L - R |
| 13 | ^^ | 逻辑排他或(用处基本等于!=) | L - R |
| 14 | || | 逻辑或 | L - R |
| 15 | ? : | 三目运算符 | L - R |
| 16 | = += -= *= /= | 赋值与复合赋值 | L - R |
| 17 | , | 顺序分配运算 | L - R |
ps 左值与右值:
左值:表示一个储存位置,可以是变量,也可以是表达式,但表达式最后的结果必须是一个储存位置.
右值:表示一个值, 可以是一个变量或者表达式再或者纯粹的值.
操作符的优先级:决定含有多个操作符的表达式的求值顺序,每个操作的优先级不同.
操作符的结合性:决定相同优先级的操作符是从左到右计算,还是从右到左计算。
基础类型间的运算:
glsl中,没有隐式类型转换,原则上glsl要求任何表达式左右两侧(l-value),(r-value)的类型必须一致 也就是说以下表达式都是错误的:
int a =2.0; //错误,r-value为float 而 lvalue 为int.
int a =1.0+2;
float a =2;
float a =2.0+1;
bool a = 0;
vec3 a = vec3(1.0, 2.0, 3.0) * 2;
下面来分别说说可能遇到的情况:
1.float 与 int:
float与float , int与int之间是可以直接运算的,但float与int不行.它们需要进行一次显示转换.即要么把float转成int: int(1.0) ,要么把int转成float: float(1) ,以下表达式都是正确的:
int a=int(2.0);
float a= float(2);
int a=int(2.0)*2 + 1;
float a= float(2)*6.0+2.3;
2.float 与 vec(向量) mat(矩阵):
vec,mat这些类型其实是由float复合而成的,当它们与float运算时,其实就是在每一个分量上分别与float进行运算,这就是所谓的逐分量运算.glsl里
大部分涉及vec,mat的运算都是逐分量运算,但也并不全是. 下文中就会讲到特例.
逐分量运算是线性的,这就是说 vec 与 float 的运算结果是还是 vec.
int 与 vec,mat之间是不可运算的, 因为vec和mat中的每一个分量都是 float 类型的. 无法与int进行逐分量计算.
下面枚举了几种 float 与 vec,mat 运算的情况
vec3 a = vec3(1.0, 2.0, 3.0);
mat3 m = mat3(1.0);
float s = 10.0;
vec3 b = s * a; // vec3(10.0, 20.0, 30.0)
vec3 c = a * s; // vec3(10.0, 20.0, 30.0)
mat3 m2 = s * m; // = mat3(10.0)
mat3 m3 = m * s; // = mat3(10.0)
3. vec(向量) 与 vec(向量):
两向量间的运算首先要保证操作数的阶数都相同.否则不能计算.例如: vec3*vec2 vec4+vec3 等等都是不行的.
它们的计算方式是两操作数在同位置上的分量分别进行运算,其本质还是逐分量进行的,这和上面所说的float类型的 逐分量运算可能有一点点差异,相同的是 vec 与 vec 运算结果还是 vec, 且阶数不变.
vec3 a = vec3(1.0, 2.0, 3.0);
vec3 b = vec3(0.1, 0.2, 0.3);
vec3 c = a + b; // = vec3(1.1, 2.2, 3.3)
vec3 d = a * b; // = vec3(0.1, 0.4, 0.9)
3. vec(向量) 与 mat(矩阵):
要保证操作数的阶数相同,且vec与mat间只存在乘法运算.
它们的计算方式和线性代数中的矩阵乘法相同,不是逐分量运算.
vec2 v = vec2(10., 20.);
mat2 m = mat2(1., 2., 3., 4.);
vec2 w = m * v; // = vec2(1. * 10. + 3. * 20., 2. * 10. + 4. * 20.)
...
vec2 v = vec2(10., 20.);
mat2 m = mat2(1., 2., 3., 4.);
vec2 w = v * m; // = vec2(1. * 10. + 2. * 20., 3. * 10. + 4. * 20.)
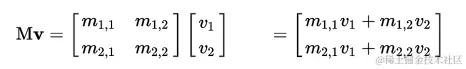
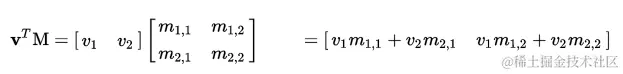
向量与矩阵的乘法规则如下:
4. mat(矩阵) 与 mat(矩阵):
要保证操作数的阶数相同.
在mat与mat的运算中, 除了乘法是线性代数中的矩阵乘法外.其余的运算任为逐分量运算.简单说就是只有乘法是特殊的,其余都和vec与vec运算类似.
mat2 a = mat2(1., 2., 3., 4.);
mat2 b = mat2(10., 20., 30., 40.);
mat2 c = a * b; //mat2(1.*10.+3.*20.,2.*10.+4.*20.,1.* 30.+3.*40.,2.* 30.+4.*40.);
mat2 d = a+b;//mat2(1.+10.,2.+20.,3.+30.,4.+40);
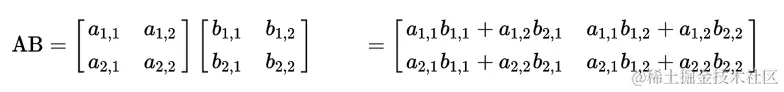
矩阵乘法规则如下:
变量限定符:
| 修饰符 | 说明 |
|---|---|
| none | (默认的可省略)本地变量,可读可写,函数的输入参数既是这种类型 |
| const | 声明变量或函数的参数为只读类型 |
| attribute | 只能存在于vertex shader中,一般用于保存顶点或法线数据,它可以在数据缓冲区中读取数据 |
| uniform | 在运行时shader无法改变uniform变量, 一般用来放置程序传递给shader的变换矩阵,材质,光照参数等等. |
| varying | 主要负责在vertex 和 fragment 之间传递变量 |
const:
和C语言类似,被const限定符修饰的变量初始化后不可变,除了局部变量,函数参数也可以使用const修饰符.但要注意的是结构变量可以用const修饰, 但结构中的字段不行.
const变量必须在声明时就初始化 const vec3 v3 = vec3(0.,0.,0.)
局部变量只能使用const限定符.
函数参数只能使用const限定符.
struct light {
vec4 color;
vec3 pos;
//const vec3 pos1; //结构中的字段不可用const修饰会报错.
};
const light lgt = light(vec4(1.0), vec3(0.0)); //结构变量可以用const修饰
attribute:
attribute变量是全局且只读的,它只能在vertex shader中使用,只能与浮点数,向量或矩阵变量组合,
一般attribute变量用来放置程序传递来的模型顶点,法线,颜色,纹理等数据它可以访问数据缓冲区
(还记得__gl.vertexAttribPointer__这个函数吧)
attribute vec4 a_Position;
uniform:
uniform变量是全局且只读的,在整个shader执行完毕前其值不会改变,他可以和任意基本类型变量组合,
一般我们使用uniform变量来放置外部程序传递来的环境数据(如点光源位置,模型的变换矩阵等等)
这些数据在运行中显然是不需要被改变的.
uniform vec4 lightPosition;
varying:
varying类型变量是 vertex shader 与 fragment shader 之间的信使,一般我们在 vertex shader 中修改它然后在fragment shader使用它,但不能在 fragment shader中修改它.
//顶点着色器
varying vec4 v_Color;
void main(){
...
v_Color = vec4(1.,1.,1.,1);
}
//片元着色器
...
varying vec4 v_Color;
void main() {
gl_FragColor = v_Color;
}
...
要注意全局变量限制符只能为 const、attribute、uniform和varying中的一个.不可复合.
函数参数限定符:
函数的参数默认是以拷贝的形式传递的,也就是值传递,任何传递给函数参数的变量,其值都会被复制一份,然后再交给函数内部进行处理. 我们可以为参数添加限定符来达到传递引用的目的,glsl中提供的参数限定符如下:
| 限定符 | 说明 |
|---|---|
| < none: default > | 默认使用 in 限定符 |
| in | 复制到函数中在函数中可读写 |
| out | 返回时从函数中复制出来 |
| inout | 复制到函数中并在返回时复制出来 |
in 是函数参数的默认限定符,最终真正传入函数形参的其实是实参的一份拷贝.在函数中,修改in修饰的形参不会影响到实参变量本身.
out 它的作用是向函数外部传递新值,out模式下传递进来的参数是write-only的(可写不可读).就像是一个"坑位",坑位中的值需要函数给他赋予.
在函数中,修改out修饰的形参会影响到实参本身.
inout inout下,形参可以被理解为是一个带值的"坑位",及可读也可写,在函数中,修改inout修饰的形参会影响到实参本身.
glsl的函数:
glsl允许在程序的最外部声明函数.函数不能嵌套,不能递归调用,且必须声明返回值类型(无返回值时声明为void) 在其他方面glsl函数与c函数非常类似.
vec4 getPosition(){
vec4 v4 = vec4(0.,0.,0.,1.);
return v4;
}
void doubleSize(inout float size){
size= size*2.0 ;
}
void main() {
float psize= 10.0;
doubleSize(psize);
gl_Position = getPosition();
gl_PointSize = psize;
}
构造函数:
glsl中变量可以在声明的时候初始化,float pSize = 10.0 也可以先声明然后等需要的时候在进行赋值.
聚合类型对象如(向量,矩阵,数组,结构) 需要使用其构造函数来进行初始化. vec4 color = vec4(0.0, 1.0, 0.0, 1.0);
//一般类型
float pSize = 10.0;
float pSize1;
pSize1=10.0;
...
//复合类型
vec4 color = vec4(0.0, 1.0, 0.0, 1.0);
vec4 color1;
color1 =vec4(0.0, 1.0, 0.0, 1.0);
...
//结构
struct light {
float intensity;
vec3 position;
};
light lightVar = light(3.0, vec3(1.0, 2.0, 3.0));
//数组
const float c[3] = float[3](5.0, 7.2, 1.1);
类型转换:
glsl可以使用构造函数进行显式类型转换,各值如下:
bool t= true;
bool f = false;
int a = int(t); //true转换为1或1.0
int a1 = int(f);//false转换为0或0.0
float b = float(t);
float b1 = float(f);
bool c = bool(0);//0或0.0转换为false
bool c1 = bool(1);//非0转换为true
bool d = bool(0.0);
bool d1 = bool(1.0);
精度限定:
glsl在进行光栅化着色的时候,会产生大量的浮点数运算,这些运算可能是当前设备所不能承受的,所以glsl提供了3种浮点数精度,我们可以根据不同的设备来使用合适的精度.
在变量前面加上 highp mediump lowp 即可完成对该变量的精度声明.
lowp float color;
varying mediump vec2 Coord;
lowp ivec2 foo(lowp mat3);
highp mat4 m;
我们一般在片元着色器(fragment shader)最开始的地方加上 precision mediump float; 便设定了默认的精度.这样所有没有显式表明精度的变量
都会按照设定好的默认精度来处理.
如何确定精度:
变量的精度首先是由精度限定符决定的,如果没有精度限定符,则要寻找其右侧表达式中,已经确定精度的变量,一旦找到,那么整个表达式都将在该精度下运行.如果找到多个, 则选择精度较高的那种,如果一个都找不到,则使用默认或更大的精度类型.
uniform highp float h1;
highp float h2 = 2.3 * 4.7; //运算过程和结果都 是高精度
mediump float m;
m = 3.7 * h1 * h2; //运算过程 是高精度
h2 = m * h1; //运算过程 是高精度
m = h2 – h1; //运算过程 是高精度
h2 = m + m; //运算过程和结果都 是中等精度
void f(highp float p); // 形参 p 是高精度
f(3.3); //传入的 3.3是高精度
invariant关键字:
由于shader在编译时会进行一些内部优化,可能会导致同样的运算在不同shader里结果不一定精确相等.这会引起一些问题,尤其是vertx shader向fragmeng shader传值的时候.
所以我们需要使用invariant 关键字来显式要求计算结果必须精确一致. 当然我们也可使用 #pragma STDGL invariant(all)来命令所有输出变量必须精确一致,
但这样会限制编译器优化程度,降低性能.
#pragma STDGL invariant(all) //所有输出变量为 invariant
invariant varying texCoord; //varying在传递数据的时候声明为invariant
限定符的顺序:
当需要用到多个限定符的时候要遵循以下顺序:
1.在一般变量中: invariant > storage > precision
2.在参数中: storage > parameter > precision
我们来举例说明:
invariant varying lowp float color; // invariant > storage > precision
void doubleSize(const in lowp float s){ //storage > parameter > precision
float s1=s;
}
预编译指令:
以 # 开头的是预编译指令,常用的有:
#define #undef #if #ifdef #ifndef #else
#elif #endif #error #pragma #extension #version #line
比如 #version 100 他的意思是规定当前shader使用 GLSL ES 1.00标准进行编译,如果使用这条预编译指令,则他必须出现在程序的最开始位置.
内置的宏:
__LINE__ : 当前源码中的行号.
__VERSION__ : 一个整数,指示当前的glsl版本 比如 100 ps: 100 = v1.00
GL_ES : 如果当前是在 OPGL ES 环境中运行则 GL_ES 被设置成1,一般用来检查当前环境是不是 OPENGL ES.
GL_FRAGMENT_PRECISION_HIGH : 如果当前系统glsl的片元着色器支持高浮点精度,则设置为1.一般用于检查着色器精度.
实例:
1.如何通过判断系统环境,来选择合适的精度:
#ifdef GL_ES //
#ifdef GL_FRAGMENT_PRECISION_HIGH
precision highp float;
#else
precision mediump float;
#endif
#endif
2.自定义宏:
#define NUM 100
#if NUM==100
#endif
内置的特殊变量
glsl程序使用一些特殊的内置变量与硬件进行沟通.他们大致分成两种 一种是 input类型,他负责向硬件(渲染管线)发送数据.
另一种是output类型,负责向程序回传数据,以便编程时需要.
在 vertex Shader 中:
output 类型的内置变量:
| 变量 | 说明 | 单位 |
|---|---|---|
highp vec4 gl_Position; | gl_Position 放置顶点坐标信息 | vec4 |
mediump float gl_PointSize; | gl_PointSize 需要绘制点的大小,(只在gl.POINTS模式下有效) | float |
在 fragment Shader 中:
input 类型的内置变量:
| 变量 | 说明 | 单位 |
|---|---|---|
mediump vec4 gl_FragCoord; | 片元在framebuffer画面的相对位置 | vec4 |
bool gl_FrontFacing; | 标志当前图元是不是正面图元的一部分 | bool |
mediump vec2 gl_PointCoord; | 经过插值计算后的纹理坐标,点的范围是0.0到1.0 | vec2 |
output 类型的内置变量:
| 变量 | 说明 | 单位 |
|---|---|---|
mediump vec4 gl_FragColor; | 设置当前片点的颜色 | vec4 RGBA color |
mediump vec4 gl_FragData[n] | 设置当前片点的颜色,使用glDrawBuffers数据数组 | vec4 RGBA color |
内置的常量
glsl提供了一些内置的常量,用来说明当前系统的一些特性. 有时我们需要针对这些特性,对shader程序进行优化,让程序兼容度更好.
在 vertex Shader 中:
1.const mediump int gl_MaxVertexAttribs>=8
gl_MaxVertexAttribs 表示在vertex shader(顶点着色器)中可用的最大attributes数.这个值的大小取决于 OpenGL ES 在某设备上的具体实现, 不过最低不能小于 8 个.
2.const mediump int gl_MaxVertexUniformVectors >= 128
gl_MaxVertexUniformVectors 表示在vertex shader(顶点着色器)中可用的最大uniform vectors数. 这个值的大小取决于 OpenGL ES 在某设备上的具体实现, 不过最低不能小于 128 个.
3.const mediump int gl_MaxVaryingVectors >= 8
gl_MaxVaryingVectors 表示在vertex shader(顶点着色器)中可用的最大varying vectors数. 这个值的大小取决于 OpenGL ES 在某设备上的具体实现, 不过最低不能小于 8 个.
4.const mediump int gl_MaxVertexTextureImageUnits >= 0
gl_MaxVaryingVectors 表示在vertex shader(顶点着色器)中可用的最大纹理单元数(贴图). 这个值的大小取决于 OpenGL ES 在某设备上的具体实现, 甚至可以一个都没有(无法获取顶点纹理)
5.const mediump int gl_MaxCombinedTextureImageUnits >= 8
gl_MaxVaryingVectors 表示在 vertex Shader和fragment Shader总共最多支持多少个纹理单元. 这个值的大小取决于 OpenGL ES 在某设备上的具体实现, 不过最低不能小于 8 个.
在 fragment Shader 中:
1.const mediump int gl_MaxTextureImageUnits >= 8
gl_MaxVaryingVectors 表示在 fragment Shader(片元着色器)中能访问的最大纹理单元数,这个值的大小取决于 OpenGL ES 在某设备上的具体实现, 不过最低不能小于 8 个.
2.const mediump int gl_MaxFragmentUniformVectors >= 16
gl_MaxFragmentUniformVectors 表示在 fragment Shader(片元着色器)中可用的最大uniform vectors数,这个值的大小取决于 OpenGL ES 在某设备上的具体实现, 不过最低不能小于 16 个.
3.const mediump int gl_MaxDrawBuffers = 1
gl_MaxDrawBuffers 表示可用的drawBuffers数,在OpenGL ES 2.0中这个值为1, 在将来的版本可能会有所变化.
glsl中还有一种内置的uniform状态变量, gl_DepthRange 它用来表明全局深度范围.
结构如下:
struct gl_DepthRangeParameters {
highp float near; // n
highp float far; // f
highp float diff; // f - n
};
uniform gl_DepthRangeParameters gl_DepthRange;
除了 gl_DepthRange 外的所有uniform状态常量都已在glsl 1.30 中废弃.
流控制
glsl的流控制和c语言非常相似,这里不必再做过多说明,唯一不同的是片段着色器中有一种特殊的控制流discard.
使用discard会退出片段着色器,不执行后面的片段着色操作。片段也不会写入帧缓冲区。
for (l = 0; l < numLights; l++)
{
if (!lightExists[l]);
continue;
color += light[l];
}
...
while (i < num)
{
sum += color[i];
i++;
}
...
do{
color += light[lightNum];
lightNum--;
}while (lightNum > 0)
...
if (true)
discard;
内置函数库
glsl提供了非常丰富的函数库,供我们使用,这些功能都是非常有用且会经常用到的. 这些函数按功能区分大改可以分成7类:
通用函数:
下文中的 类型 T可以是 float, vec2, vec3, vec4,且可以逐分量操作.
| 方法 | 说明 |
|---|---|
| T abs(T x) | 返回x的绝对值 |
| T sign(T x) | 比较x与0的值,大于,等于,小于 分别返回 1.0 ,0.0,-1.0 |
| T floor(T x) | 返回<=x的最大整数 |
| T ceil(T x) | 返回>=等于x的最小整数 |
| T fract(T x) | 获取x的小数部分 |
| T mod(T x, T y) T mod(T x, float y) | 取x,y的余数 |
| T min(T x, T y) T min(T x, float y) | 取x,y的最小值 |
| T max(T x, T y) T max(T x, float y) | 取x,y的最大值 |
| T clamp(T x, T minVal, T maxVal) T clamp(T x, float minVal,float maxVal) | min(max(x, minVal), maxVal),返回值被限定在 minVal,maxVal之间 |
| T mix(T x, T y, T a) T mix(T x, T y, float a) | 取x,y的线性混合,x*(1-a)+y*a |
| T step(T edge, T x) T step(float edge, T x) | 如果 x<edge 返回 0.0 否则返回1.0 |
| T smoothstep(T edge0, T edge1, T x) T smoothstep(float edge0,float edge1, T x) | 如果x<edge0 返回 0.0 如果x>edge1返回1.0, 否则返回Hermite插值 |
角度&三角函数:
下文中的 类型 T可以是 float, vec2, vec3, vec4,且可以逐分量操作.
| 方法 | 说明 |
|---|---|
| T radians(T degrees) | 角度转弧度 |
| T degrees(T radians) | 弧度转角度 |
| T sin(T angle) | 正弦函数,角度是弧度 |
| T cos(T angle) | 余弦函数,角度是弧度 |
| T tan(T angle) | 正切函数,角度是弧度 |
| T asin(T x) | 反正弦函数,返回值是弧度 |
| T acos(T x) | 反余弦函数,返回值是弧度 |
| T atan(T y, T x) T atan(T y_over_x) | 反正切函数,返回值是弧度 |
指数函数:
下文中的 类型 T可以是 float, vec2, vec3, vec4,且可以逐分量操作.
| 方法 | 说明 |
|---|---|
| T pow(T x, T y) | 返回x的y次幂 xy |
| T exp(T x) | 返回x的自然指数幂 ex |
| T log(T x) | 返回x的自然对数 ln |
| T exp2(T x) | 返回2的x次幂 2x |
| T log2(T x) | 返回2为底的对数 log2 |
| T sqrt(T x) | 开根号 √x |
| T inversesqrt(T x) | 先开根号,在取倒数,就是 1/√x |
几何函数:
下文中的 类型 T可以是 float, vec2, vec3, vec4,且可以逐分量操作.
| 方法 | 说明 |
|---|---|
| float length(T x) | 返回矢量x的长度 |
| float distance(T p0, T p1) | 返回p0 p1两点的距离 |
| float dot(T x, T y) | 返回x y的点积 |
| vec3 cross(vec3 x, vec3 y) | 返回x y的叉积 |
| T normalize(T x) | 对x进行归一化,保持向量方向不变但长度变为1 |
| T faceforward(T N, T I, T Nref) | 根据 矢量 N 与Nref 调整法向量 |
| T reflect(T I, T N) | 返回 I - 2 * dot(N,I) * N, 结果是入射矢量 I 关于法向量N的 镜面反射矢量 |
| T refract(T I, T N, float eta) | 返回入射矢量I关于法向量N的折射矢量,折射率为eta |
矩阵函数:
mat可以为任意类型矩阵.
| 方法 | 说明 |
|---|---|
| mat matrixCompMult(mat x, mat y) | 将矩阵 x 和 y的元素逐分量相乘 |
向量函数:
下文中的 类型 T可以是 vec2, vec3, vec4, 且可以逐分量操作.
bvec指的是由bool类型组成的一个向量:
vec3 v3= vec3(0.,0.,0.);
vec3 v3_1= vec3(1.,1.,1.);
bvec3 aa= lessThan(v3,v3_1); //bvec3(true,true,true)
| 方法 | 说明 |
|---|---|
| bvec lessThan(T x, T y) | 逐分量比较x < y,将结果写入bvec对应位置 |
| bvec lessThanEqual(T x, T y) | 逐分量比较 x <= y,将结果写入bvec对应位置 |
| bvec greaterThan(T x, T y) | 逐分量比较 x > y,将结果写入bvec对应位置 |
| bvec greaterThanEqual(T x, T y) | 逐分量比较 x >= y,将结果写入bvec对应位置 |
| bvec equal(T x, T y) bvec equal(bvec x, bvec y) | 逐分量比较 x == y,将结果写入bvec对应位置 |
| bvec notEqual(T x, T y) bvec notEqual(bvec x, bvec y) | 逐分量比较 x!= y,将结果写入bvec对应位置 |
| bool any(bvec x) | 如果x的任意一个分量是true,则结果为true |
| bool all(bvec x) | 如果x的所有分量是true,则结果为true |
| bvec not(bvec x) | bool矢量的逐分量取反 |
纹理查询函数:
图像纹理有两种 一种是平面2d纹理,另一种是盒纹理,针对不同的纹理类型有不同访问方法.
纹理查询的最终目的是从sampler中提取指定坐标的颜色信息. 函数中带有Cube字样的是指 需要传入盒状纹理. 带有Proj字样的是指带投影的版本.
以下函数只在vertex shader中可用:
vec4 texture2DLod(sampler2D sampler, vec2 coord, float lod);
vec4 texture2DProjLod(sampler2D sampler, vec3 coord, float lod);
vec4 texture2DProjLod(sampler2D sampler, vec4 coord, float lod);
vec4 textureCubeLod(samplerCube sampler, vec3 coord, float lod);
以下函数只在fragment shader中可用:
vec4 texture2D(sampler2D sampler, vec2 coord, float bias);
vec4 texture2DProj(sampler2D sampler, vec3 coord, float bias);
vec4 texture2DProj(sampler2D sampler, vec4 coord, float bias);
vec4 textureCube(samplerCube sampler, vec3 coord, float bias);
在 vertex shader 与 fragment shader 中都可用:
vec4 texture2D(sampler2D sampler, vec2 coord);
vec4 texture2DProj(sampler2D sampler, vec3 coord);
vec4 texture2DProj(sampler2D sampler, vec4 coord);
vec4 textureCube(samplerCube sampler, vec3 coord);
官方的shader范例:
下面的shader如果你可以一眼看懂,说明你已经对glsl语言基本掌握了.
Vertex Shader:
uniform mat4 mvp_matrix; //透视矩阵 * 视图矩阵 * 模型变换矩阵
uniform mat3 normal_matrix; //法线变换矩阵(用于物体变换后法线跟着变换)
uniform vec3 ec_light_dir; //光照方向
attribute vec4 a_vertex; // 顶点坐标
attribute vec3 a_normal; //顶点法线
attribute vec2 a_texcoord; //纹理坐标
varying float v_diffuse; //法线与入射光的夹角
varying vec2 v_texcoord; //2d纹理坐标
void main(void)
{
//归一化法线
vec3 ec_normal = normalize(normal_matrix * a_normal);
//v_diffuse 是法线与光照的夹角.根据向量点乘法则,当两向量长度为1是 乘积即cosθ值
v_diffuse = max(dot(ec_light_dir, ec_normal), 0.0);
v_texcoord = a_texcoord;
gl_Position = mvp_matrix * a_vertex;
}
Fragment Shader:
precision mediump float;
uniform sampler2D t_reflectance;
uniform vec4 i_ambient;
varying float v_diffuse;
varying vec2 v_texcoord;
void main (void)
{
vec4 color = texture2D(t_reflectance, v_texcoord);
//这里分解开来是 color*vec3(1,1,1)*v_diffuse + color*i_ambient
//色*光*夹角cos + 色*环境光
gl_FragColor = color*(vec4(v_diffuse) + i_ambient);
}