codeTop100题(29)124. 二叉树中的最大路径和

122 阅读2分钟

1. 题目

124. 二叉树中的最大路径和

2. 分析

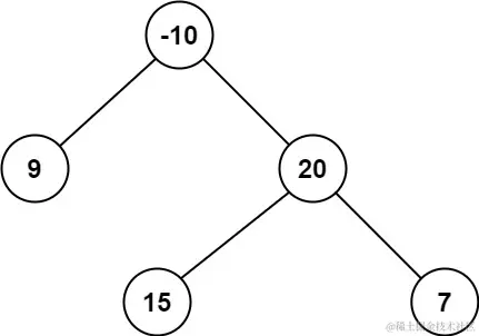
本题要求我们求二叉树的最大路径和,例如下图的15-20-7,就是该二叉树的最大路径;

image.png

2.1 路径

那么什么是路径呢?我的理解是只有能连成一条线,并且节点不重复的都是一条路径,例如,从9开始,有以下这些路径:

  • 9
  • 9 -10
  • 9 -10 20
  • 9 -10 20 15
  • 9 -10 20 7

即:从某一个节点向上到某一个节点,然后向下

2.2 找最大路径

这么多路径,我们怎么去找到最大的那一条呢?

  1. 基于上面的结论,我们知道,一定有一个根,可能存在两个子节点
  2. 同时一个节点可以作为根节点、也可以作为子节点
  3. 如果用动态规划的思路:我们可以定义两个数组:以当前节点为根的最大值、以当前节点为子节点的最大值
  4. 递推公式分别是
  • dpA[i] = dpB[l] + dpB[r] + num[i] (左右节点小于0的时候不加)
  • dpB[i] = num[i] + max(dpB[l], dpB[r])(左右节点都小于0的时候不加)
  1. 遍历顺序可以采用递归的方式

3. 代码

int max = Integer.MIN_VALUE;
TreeNode treeNode = null;

public int maxPathSum(TreeNode root) {
    if (null == treeNode) {
        treeNode = root;
    }
    //动态规划
    //以当前节点为子树的最大值
    //以当前节点为根节点的最大值
    //公式
    //dpA[i] = dpB[l] + dpB[r] + num[i]
    //dpB[i] = num[i] + max(dpB[l], dpB[r])
    //边界值 null == 0
    //遍历顺序:递归
    if (null == root) {
        return 0;
    }
    //左边节点作为子节点的最大值
    int l = maxPathSum(root.left);
    //右边节点作为子节点的最大值
    int r = maxPathSum(root.right);
    //当前节点作为子树最大值
    int pathMax = root.val + Math.max(Math.max(l, r), 0);
    //当前节点作为跟最大值
    max = Math.max(max, root.val + Math.max(l, 0) + Math.max(r, 0));
    if (treeNode == root) {
        return max;
    }
    return pathMax;
}