R语言汇率、股价指数与GARCH模型分析:格兰杰因果检验、脉冲响应与预测可视化

177 阅读3分钟

全文链接:tecdat.cn/?p=35227

原文出处:拓端数据部落公众号

汇率和股价指数之间的联系是许多经济学家和投资者关注的重要议题。汇率和股价指数的波动对于经济体系的稳定和投资者的决策都具有重要影响。本文将帮助客户通过分析汇率和股价指数之间的联系,使用格兰杰因果检验和脉冲响应函数等方法,来深入探讨它们之间的关系。

(一)描绘时序图→ 单位根检验(ADF检验)→平稳性检验,不平稳的话进行协整检验→格兰杰因果检验

首先,我们将通过描绘时序图来观察汇率和股价指数的变化趋势。然后,我们将进行单位根检验(ADF检验)和平稳性检验,以确定它们的时间序列特性。如果发现序列不平稳,我们将进行协整检验,以确定它们之间是否存在长期稳定的关系。接着,我们将使用格兰杰因果检验来分析它们之间的因果关系,进一步探讨它们之间的动态影响。

plot(topix[,1],topix[,2],type="b",xlab="year",ylab="股价指数" )

image.png

image.png

平稳性检验

image.png

image.png

image.png

恩格尔-格兰杰检验Engle-Granger

在进行恩格尔-格兰杰检验时,我们将建立两个变量(汇率和股价指数)的回归方程,并对回归方程的残差进行单位根检验。通过检验残差序列的平稳性,我们可以判断这两个变量是否存在协整关系,从而揭示它们之间的长期联系。

第一步:建立两变量(y1,y2)的回归方程,
第二步:对该回归方程的残差(resid)进行单位根检验其中,
原假设两变量不存在协整关系,备择假设是两变量存在协整关系。
利用最小二乘法对回归方程进行估计,从回归方程中提取残差进行检验。

adf.test(topix[,2])

image.png


#提取回归残差  
  
error = residuals(sr.reg)

作残差散点图

image.png

对残差进行单位根检验

image.png

伪回归结果,相关参数都显著

image.png

(二)用(VAR)脉冲响应函数分析

我们将使用VAR模型进行脉冲响应函数分析,以探讨汇率和股价指数之间的短期关系。通过预测VAR模型的脉冲响应,我们可以了解它们之间的瞬时反应和动态调整过程,为投资者提供更准确的决策依据。

image.png

image.png

image.png

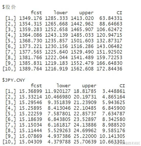
predict(VARmodel,10)

image.png

(三)最后用二元garch模型进行短期预测

我们将采用二元GARCH模型进行短期预测,以评估汇率和股价指数的波动性。通过分析GARCH模型的残差序列,我们可以更好地理解它们之间的波动关系,并提供更精准的短期预测结果,为投资者提供更可靠的投资建议。

volatility <- volatVARDAT

image.png

image.png

c.dccn, data = qxts, solver = 'solnp',fit.control = list(eval.se = TRUE))  
 print(fit.1)

image.png

residuals(fi

image.png

image.png

image.png

image.png

image.png

image.png

2.png

通过以上分析方法的综合运用,我们可以更全面地了解汇率和股价指数之间的联系,揭示它们之间的因果关系和动态影响,为投资者和决策者提供更准确的信息和决策支持。


strategiccouragevolatility-herostandard_1536x1536.webp

最受欢迎的见解

1.用机器学习识别不断变化的股市状况—隐马尔科夫模型(HMM)的应用

2.R语言GARCH-DCC模型和DCC(MVT)建模估计

3.R语言实现 Copula 算法建模依赖性案例分析报告

4.R语言COPULAS和金融时间序列数据VaR分析

5.R语言多元COPULA GARCH 模型时间序列预测

6.用R语言实现神经网络预测股票实例

7.r语言预测波动率的实现:ARCH模型与HAR-RV模型

8.R语言如何做马尔科夫转换模型markov switching model

9.matlab使用Copula仿真优化市场风险