codeTop100题(22)92. 反转链表 II

77 阅读1分钟

1. 题目

92. 反转链表 II

2. 分析

之前也有一个类似的反转链表的题目,只不过那个是k个一组,可能有多组需要反转: juejin.cn/post/733155…

这道题目其实也可以一次遍历,找到left 和 right的指针:

image.png

然后将s进行反转链表,参考juejin.cn/post/733010…

image.png

然后将头尾相连:

image.png

但是这样子有一个问题,遍历是一次,反转又是一次,就遍历了两次,是否可以只遍历一次呢?

其实可以在遍历的过程中操作指针,进行反转,找到起点之后,每遍历到一个节点,我们都将当前节点的指针指向pre,最终再次进行首尾相连:

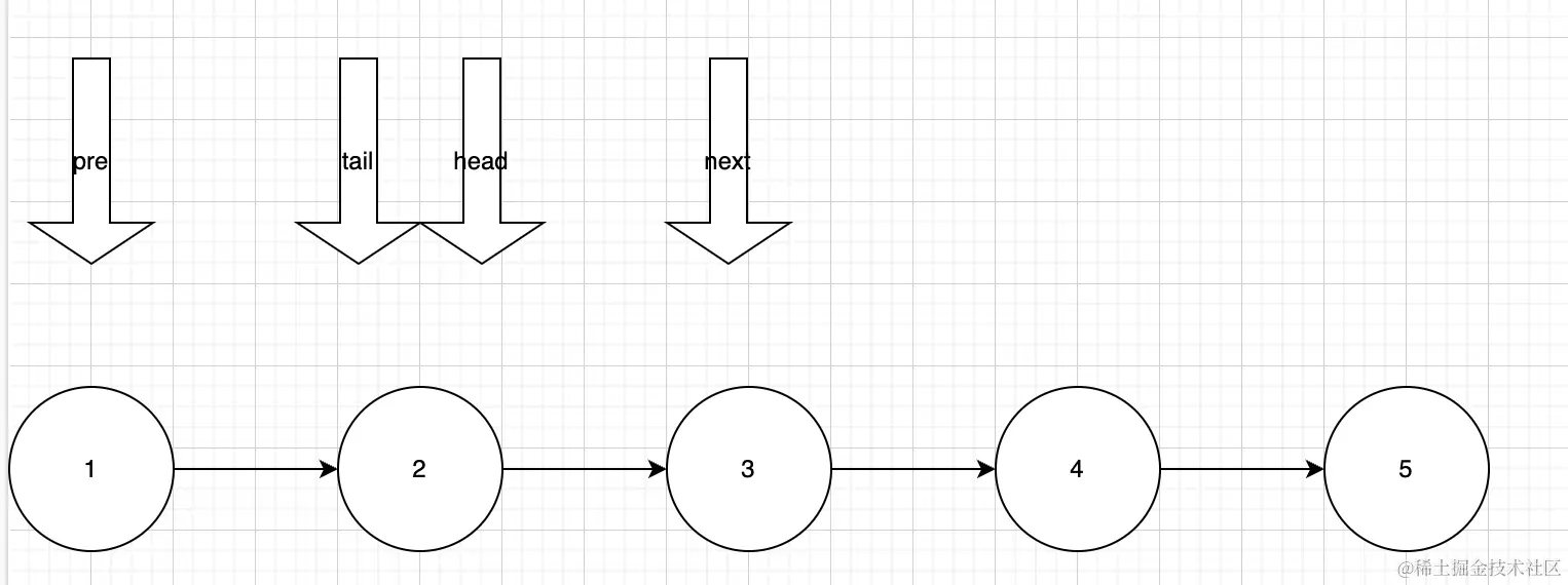
  • 找到起点 image.png
  • 右移一位 image.png
  • 操作指针,反转指向pre,并循环右移

image.png

  • 到达终点

image.png

  • 连接头尾指针

image.png

3. 代码

public ListNode reverseBetween(ListNode head, int left, int right) {
    if (left == right) {
        return head;
    }
    ListNode tail = null;
    ListNode next = null;
    ListNode newHead = new ListNode(0);
    ListNode pre = newHead;
    newHead.next = head;
    next = head.next;
    int c = 1;
    //find left
    while (c < left) {
        pre = pre.next;
        head = head.next;
        next = next.next;
        c++;
    }
    ListNode finalPre = pre;
    tail = head;
    pre = pre.next;
    head = head.next;
    do {
        next = head.next;
        head.next = pre;
        pre = head;
        head = next;
        c++;
    } while (c < right);
    finalPre.next = pre;
    tail.next = head;
    return newHead.next;
}