「递归算法」:求根节点到叶节点数字之和

119 阅读2分钟

一、题目

给你一个二叉树的根节点 root ,树中每个节点都存放有一个 09 之间的数字。

每条从根节点到叶节点的路径都代表一个数字:

  • 例如,从根节点到叶节点的路径 1 -> 2 -> 3 表示数字 123

计算从根节点到叶节点生成的 所有数字之和

叶节点 是指没有子节点的节点。

示例 1:

编辑

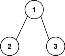
输入:root = [1,2,3]
输出:25
解释:
从根到叶子节点路径 1->2
 代表数字 12

从根到叶子节点路径 1->3
 代表数字 13

因此,数字总和 = 12 + 13 = 25

示例 2:

编辑

输入:root = [4,9,0,5,1]
输出:1026
解释:
从根到叶子节点路径 4->9->5
 代表数字 495

从根到叶子节点路径 4->9->1
 代表数字 491

从根到叶子节点路径 4->0
 代表数字 40

因此,数字总和 = 495 + 491 + 40 = 1026

提示:

  • 树中节点的数目在范围 [1, 1000]
  • 0 <= Node.val <= 9
  • 树的深度不超过 10

二、思路解析

树形结构,我们也应该有往递归上靠的意识,因为这个结构本身就是由一个个相同的子问题构成的。

而每层递归都要处理的问题,就是把父节点的值 * 10 之后加上根节点的值。同时只要还有左子树和右子树,就继续递归下去。

代码部分不难看懂的,具体实现也不复杂,具体请看下面代码👇

三、完整代码

/**
 * Definition for a binary tree node.
 * public class TreeNode {
 *     int val;
 *     TreeNode left;
 *     TreeNode right;
 *     TreeNode() {}
 *     TreeNode(int val) { this.val = val; }
 *     TreeNode(int val, TreeNode left, TreeNode right) {
 *         this.val = val;
 *         this.left = left;
 *         this.right = right;
 *     }
 * }
 */
class Solution {
    public int sumNumbers(TreeNode root) {
        return dfs(root , 0);
    }

    public int dfs(TreeNode root , int preSum){
        preSum = preSum * 10 + root.val;
        if(root.left == null && root.right == null){
            return preSum;
        }

        int ret = 0;
        if(root.left != null){
            ret += dfs(root.left , preSum);
        }

        if(root.right != null){
            ret += dfs(root.right , preSum);
        } 
        return ret;
    }
}

以上就是本篇博客的全部内容啦,如有不足之处,还请各位指出,期待能和各位一起进步!