干货 | 差分运放公式推导,巨详细!

473 阅读2分钟

不知道大家有没遇到这种情况,在计算电路的时候,有时候会突然的忘记一些公式,需要回去翻看笔记或者查资料,知其然而不知其所以然。今天跟大家一起来一起推导一遍差分运放的计算过程。

计算过程其实归根结底还是根据运放的虚短和虚断。

【虚短】

虚短指在理想情况下,两个输入端的电位相等,就好像两个输入端短接在一起,但事实上并没有短接,称为“虚短”。虚短的必要条件是运放引入深度负反馈。

【虚断】

虚断指在理想情况下,流入集成运算放大器输入端电流为零。这是由于理想运算放大器的输入电阻无限大,就好像运放两个输入端之间开路。但事实上并没有开路,称为“虚断”。

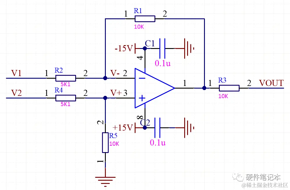
话不多说直接上图。
差分运放的电阻有个特点:

R1=R5,R2=R4
图片
一般的计算方法如下:
根据虚断,即流入运算放大器输入端电流为零,如下图,简单的理解为两个电阻R4,R5分压。
图片
可得:
图片
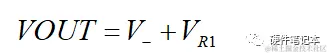
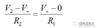
根据虚短,即运放两个输入端近似短路,可得:

图片 ......①又
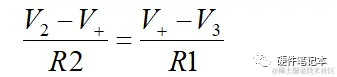
图片 ......②图片 .......③图片 ......④
整理②③④得:
图片 ......⑤
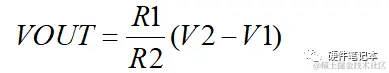
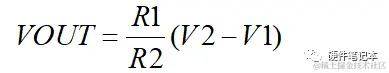
将①带入⑤中,最终化简得:
图片
其实还有一种简单的计算方法:
图片 ......⑥图片 ......⑦
由于R1=R5,R2=R4
所以将上式⑥改为:
图片 ......⑧
⑧-⑦得:

图片
化简得

图片
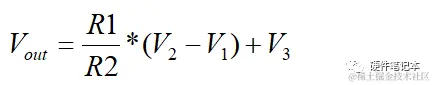
如果我们要给运放加一个直流偏置可以怎么做呢,加在哪里?加多大比较合适呢?如下图

图片
我们还是再来一起计算一下:

图片 ......⑨图片 ......⑩
⑨-⑩化简得:图片转载来源:硬件笔记本(作者:蜗牛)声明:本文为转载文章,转载此文目的在于传递更多信息,版权归原作者所有,如涉及侵权,请后台联系小编进行处理。(买电子元器件就上唯样商城)