机器学习——逻辑回归

199 阅读1分钟

1.logistic regression模型

线性回归中 hθ(x) = θTx
作一下修改,变成下图形式
在这里插入图片描述

定义logistic函数g如下
请添加图片描述

2.决策边界

决策边界不是训练集的属性,而是假设本身及其参数的属性
简单来说就是一个分类问题划分依据,可以是一条直线,在这条直线的上方就是y=1,下方就是y=0

则有下图,中间的洋红色直线即为 决策边界(即x1 + x2 = 3)
在这里插入图片描述

3.逻辑回归——代价函数

0b3312cfcaff47bfaaea247b44185d28.png

4.简化代价函数与梯度下降

将上述式子合并为一个式子

Cost(hθ(x), y) = -ylog(hθ(x)) - (1 - y)log(1 - hθ(x))

当y = 1时,后一个式子整体为0
当y = 0时,前一个式子整体为0

进而我们得到
在这里插入图片描述
注意:

  1. 逻辑回归的代价函数看似与线性回归的代价函数相同,但本质不同。

  2. 逻辑回归中的hθ(x) = 1 / e-θT^x(T是θ的上标)

  3. 线性回归中的hθ(x) = θTx

5.高级优化

本质:  利用一些高级算法,来更快计算出结果。

通常这些算法:

  1. 能够自主选择α
  2. 速度大大快于梯度下降
  3. 比梯度下降更为复杂

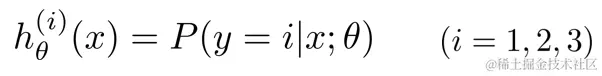
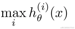
6.多元分类:一对多

多元分类:  结果有多种可能

下例,有三种可能结果。
在这里插入图片描述


在这里插入图片描述
最后需要输入一个x,选择h最大的类别,也即在三个分类器中选择可信度最高,效果最好的
在这里插入图片描述