2024.2.16每日一题

66 阅读1分钟

LeetCode

二叉树的锯齿层序遍历

103. 二叉树的锯齿形层序遍历 - 力扣(LeetCode)

题目描述

给你二叉树的根节点 root ,返回其节点值的 锯齿形层序遍历 。(即先从左往右,再从右往左进行下一层遍历,以此类推,层与层之间交替进行)。

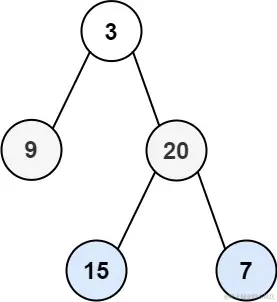
示例 1:

img

输入:root = [3,9,20,null,null,15,7]
输出:[[3],[20,9],[15,7]]

示例 2:

输入:root = [1]
输出:[[1]]

示例 3:

输入:root = []
输出:[]

提示:

  • 树中节点数目在范围 [0, 2000]
  • -100 <= Node.val <= 100

思路

103. 二叉树的锯齿形层序遍历 - 力扣(LeetCode)

代码

C++

/**
 * Definition for a binary tree node.
 * struct TreeNode {
 *     int val;
 *     TreeNode *left;
 *     TreeNode *right;
 *     TreeNode() : val(0), left(nullptr), right(nullptr) {}
 *     TreeNode(int x) : val(x), left(nullptr), right(nullptr) {}
 *     TreeNode(int x, TreeNode *left, TreeNode *right) : val(x), left(left), right(right) {}
 * };
 */
class Solution {
public:
    vector<vector<int>> zigzagLevelOrder(TreeNode *root) {
        if(root == nullptr){
            return {};
        }
        vector<vector<int>> ans;
        vector<TreeNode *> cur = {root};
        for(bool even = false; !cur.empty(); even = !even){
            vector<TreeNode *> nxt;
            vector<int> vals;
            for(auto node : cur){
                vals.push_back(node->val);
                if(node->left) nxt.push_back(node->left);
                if(node->right) nxt.push_back(node->right);
            }
            cur = move(nxt);
            if(even) reverse(vals.begin(),vals.end());
            ans.emplace_back(vals);
        }
        return ans;
    }
};

Java

/**
 * Definition for a binary tree node.
 * public class TreeNode {
 *     int val;
 *     TreeNode left;
 *     TreeNode right;
 *     TreeNode() {}
 *     TreeNode(int val) { this.val = val; }
 *     TreeNode(int val, TreeNode left, TreeNode right) {
 *         this.val = val;
 *         this.left = left;
 *         this.right = right;
 *     }
 * }
 */
class Solution {
    public List<List<Integer>> zigzagLevelOrder(TreeNode root) {
        if(root == null){
            return List.of();
        }
        List<List<Integer>> ans = new ArrayList<>();
        List<TreeNode> cur = new ArrayList<>();
        cur.add(root);
        for(boolean even = false; !cur.isEmpty(); even = !even){
            List<TreeNode> nxt = new ArrayList<>();
            List<Integer> vals = new ArrayList<>(cur.size());
            for(TreeNode node : cur){
                vals.add(node.val);
                if(node.left != null) nxt.add(node.left);
                if(node.right != null) nxt.add(node.right);
            }
            cur = nxt; 
            if(even) Collections.reverse(vals);
            ans.add(vals);
        }
        return ans;
    }
}

image-20240216155333357