AJAX进阶(笔记)

109 阅读3分钟

同步代码和异步代码

同步代码:逐行执行,原地等待结果后,才继续向下执行

异步代码:调用后耗时,不阻塞代码执行,将来完成后触发回调函数

异步代码依靠回调函数来接收结果

js中的异步代码

  • setTimeout/setInterval
  • 事件
  • AJAX
  • 回调函数地狱和Promise链式调用

    回调函数地狱

    概念:在回调函数中嵌套回调函数,一直嵌套下去就形成了回调函数地狱

    缺点:可读性差,异常无法捕获,耦合性严重,牵一发动全身

    Promise-链式调用

    概念:依靠then()方法会返回一个新生成的Promise对象特性,继续串联下一环任务,直到结束

    细节:then()回调函数中的返回值,会影响新生成的Promise对象的最终状态和结果

    好处:通过链式调用,解决回调函数嵌套问题

    image.png

    asyns和await使用

    定义:async和await关键字让我们可以用一种更简洁的方式写出基于Promise异步行为而无需刻意地链式调用promise

    概念:在async函数内,使用await关键字取代then函数,等待获取Promise对象成功状态的结果值

    async函数和await_捕获错误

    使用:try……catch

    语法

    try{
        //要执行的代码
        }catch(error){
        //error里,接受的是,错误信息
        //try里的代码,如果有错误,直接进入这里执行
        }
    

    事件循环-EventLoop

    事件循环

    概念:事件循环负责执行代码,收集和处理事件以及执行队列中的子任务

    原因:js单线程(某一刻只能执行一行代码),为了让耗时代码不阻塞其他代码运行,设计了事件循环模型

    事件循环-执行过程

    定义执行代码和收集异步任务的模型,在调用栈空闲,反复调用任务队列里的回调函数的执行机制,就叫作事件循环

    步骤

    1.执行同步代码,遇到 异步代码交给宿主浏览器环境执行

    2异步有了结果后,把回调函数放入任务队列排队

    3.当调用栈空闲后,反复调用任务队列里的回调函数 image.png

    宏任务和微任务

    异步任务分为:

    --- 宏任务:由浏览器环境执行的异步代码

    --- 微任务:由JS引擎环境执行的异步代码

    任务(代码)执行所在环境
    JS脚本执行事件(script)浏览器
    setTimeout/setInterval浏览器
    AJAX请求完成事件浏览器
    用户交互事件等浏览器
    Promise对象.then()JS引擎

    promise本身是同步的,而then和catch回调函数是异步的

    image.png

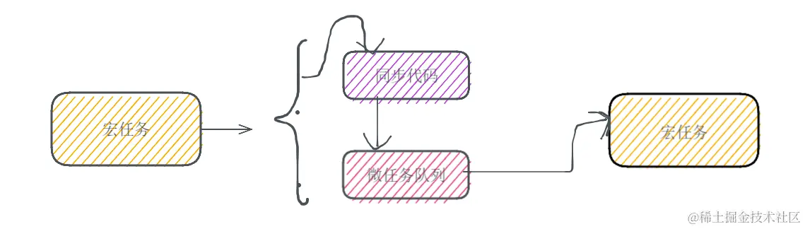
    js内代码如何执行?

    1.执行第一个script脚本事件宏任务,里面同步代码

    2.遇到宏任务/微任务交给宿主环境,有结果回调函数进入对应队列

    3.当执行栈空闲时,清空微任务队列,再执行下一个宏任务,从一再来

    image.png

    Promise.all静态方法

    概念:合并多个Promise对象,等待所有同时成功完成(或某个失败),做后续逻辑

    image.png 语法

    const p=Promise.all([Promise对象,Promise对象,……])
    p.then(result=>{
      //result结果:[promise对象成功结果,Promise对象成功结果,……]
    }).catch(error=>{
      //第一个失败的Promise对象,抛出的异常
    })