2024.2.15每日一题

55 阅读1分钟

LeetCode

二叉树的层序遍历 II

107. 二叉树的层序遍历 II - 力扣(LeetCode)

题目描述

给你二叉树的根节点 root ,返回其节点值 自底向上的层序遍历 。 (即按从叶子节点所在层到根节点所在的层,逐层从左向右遍历)

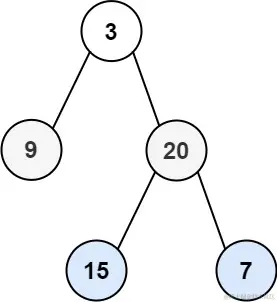
示例 1:

img

输入:root = [3,9,20,null,null,15,7]
输出:[[15,7],[9,20],[3]]

示例 2:

输入:root = [1]
输出:[[1]]

示例 3:

输入:root = []
输出:[]

提示:

  • 树中节点数目在范围 [0, 2000]
  • -1000 <= Node.val <= 1000

思路

BFS

代码

C++

class Solution {
public:
    vector<vector<int>> levelOrderBottom(TreeNode *root) {
        if (root == nullptr) return {};
        vector<vector<int>> ans;
        vector<TreeNode*> cur{root};
        while (cur.size()) {
            vector<TreeNode*> nxt;
            vector<int> vals;
            for (auto node : cur) {
                vals.push_back(node->val);
                if (node->left)  nxt.push_back(node->left);
                if (node->right) nxt.push_back(node->right);
            }
            cur = move(nxt);
            ans.emplace_back(vals);
        }
        ranges::reverse(ans);
        return ans;
    }
};

Java

class Solution {
    public List<List<Integer>> levelOrderBottom(TreeNode root) {
        if (root == null) return List.of();
        List<List<Integer>> ans = new ArrayList<>();
        List<TreeNode> cur = List.of(root);
        while (!cur.isEmpty()) {
            List<TreeNode> nxt = new ArrayList<>();
            List<Integer> vals = new ArrayList<>(cur.size()); // 预分配空间
            for (TreeNode node : cur) {
                vals.add(node.val);
                if (node.left != null)  nxt.add(node.left);
                if (node.right != null) nxt.add(node.right);
            }
            cur = nxt;
            ans.add(vals);
        }
        Collections.reverse(ans);
        return ans;
    }
}

image-20240215164916745