「递归算法」:子集(两种解法)

90 阅读2分钟

​****一、题目

给你一个整数数组 nums ,数组中的元素 互不相同 。返回该数组所有可能的子集(幂集)。

解集 不能 包含重复的子集。你可以按 任意顺序 返回解集。

示例 1:

输入:nums = [1,2,3]
输出:[[],[1],[2],[1,2],[3],[1,3],[2,3],[1,2,3]]

示例 2:

输入:nums = [0]
输出:[[],[0]]

二、思路解析

解法一

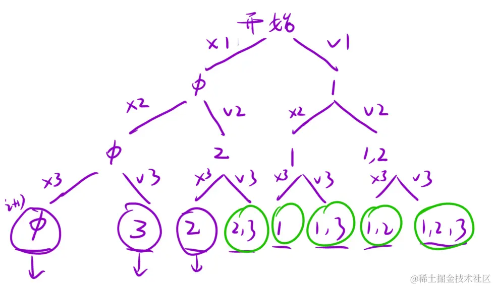
来看看这道题的决策树模型,下图的 × 代表不选择该元素,✓ 代表选择,所有叶子节点均为答案。

编辑

而这种方法,需要一个 pos 变量,用于记录已经遍历过的元素个数。

当遍历个数和 nums 数组的大小一致时,则为函数出口,把一次遍历也插入到 ret 变量中,然后直接返回即可。

函数体部分代码也较为简单,剪枝我也在前面出过一期博客,在此不做讲解。

第一种解法的所有叶子结点均为符合题意的答案。

解法二

和解法一的区别,主要在于解法二用了一个 for 循环来遍历数组,且在循环中再次递归调用。

但是在这种解法,我们不再判断选与不选,而是把当前元素及其后面的每个元素都统计在内。

这样的结果,就是所有节点均为满足题意的答案,也就是图中绿色部分元素。

编辑

三、完整代码

解法一:

class Solution {

    List<List<Integer>> ret;
    List<Integer> path;


    public List<List<Integer>> subsets(int[] nums) {
        ret = new ArrayList<>();
        path = new ArrayList<>();
        dfs(nums , 0);
        return ret;
    }

    public void dfs(int[] nums , int pos){
        
        // 解法一
        if(pos == nums.length){
            ret.add(new ArrayList<>(path));
            return;
        }

        // 选
        path.add(nums[pos]);
        dfs(nums , pos + 1);
        path.remove(path.size() - 1);

        // 不选
        dfs(nums , pos + 1);

}

解法二:

class Solution {

    List<List<Integer>> ret;
    List<Integer> path;


    public List<List<Integer>> subsets(int[] nums) {
        ret = new ArrayList<>();
        path = new ArrayList<>();
        dfs(nums , 0);
        return ret;
    }

    public void dfs(int[] nums , int pos){
        
        // 解法二
        ret.add(new ArrayList<>(path));
        for(int i = pos ; i < nums.length ; i ++){
            path.add(nums[i]);
            dfs(nums , i + 1);
            path.remove(path.size() - 1);
        }
}

以上就是本篇博客的全部内容啦,如有不足之处,还请各位指出,期待能和各位一起进步!