「递归算法」:反转链表

50 阅读1分钟

一、题目

给你单链表的头节点 head ,请你反转链表,并返回反转后的链表。

示例 1:

编辑

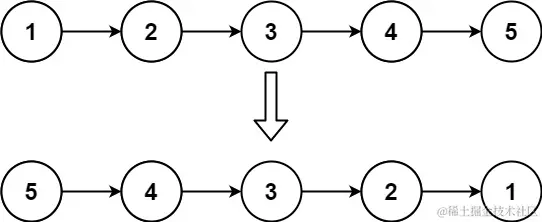
输入:head = [1,2,3,4,5]
输出:[5,4,3,2,1]

示例 2:

编辑

输入:head = [1,2]
输出:[2,1]

示例 3:

输入:head = []
输出:[]

提示:

  • 链表中节点的数目范围是 [0, 5000]
  • -5000 <= Node.val <= 5000

二、思路解析

这道题的一个细节就是,要从后向前逆置,否则前面节点会被覆盖掉。

而我们可以从递归的角度来看待,把一个大问题拆分成相同的子问题。

也就是:

编辑

并且因为 newHead 是反转后链表的头节点,所以每次递归返回到上一层时都返回 newHead.

三、完整代码

/**
 * Definition for singly-linked list.
 * public class ListNode {
 *     int val;
 *     ListNode next;
 *     ListNode() {}
 *     ListNode(int val) { this.val = val; }
 *     ListNode(int val, ListNode next) { this.val = val; this.next = next; }
 * }
 */
class Solution {
    public ListNode reverseList(ListNode head) {
        if(head == null || head.next == null){
            return head;
        }
        ListNode newHead = reverseList(head.next);
        head.next.next = head;
        head.next = null; 

        return newHead;
    }
}

以上就是本篇博客的全部内容啦,如有不足之处,还请各位指出,期待能和各位一起进步!