「递归算法」:二叉搜索树中第K小的元素

73 阅读1分钟

一、题目

给定一个二叉搜索树的根节点 root ,和一个整数 k ,请你设计一个算法查找其中第 k 个最小元素(从 1 开始计数)。

示例 1:

编辑

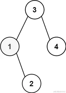
输入:root = [3,1,4,null,2], k = 1
输出:1

示例 2:

编辑

输入:root = [5,3,6,2,4,null,null,1], k = 3
输出:3

提示:

  • 树中的节点数为 n
  • 1 <= k <= n <= 104
  • 0 <= Node.val <= 104

二、思路解析

还是用到这条定理:二叉搜索树的中序遍历,其结果是一个递增序列

那我们定义一个计数器,从小到大遍历一遍,不就知道第几小了吗?

然后在左子树和右子树的递归调用后,加入剪枝操作进行优化即可。

三、完整代码

/**
 * Definition for a binary tree node.
 * public class TreeNode {
 *     int val;
 *     TreeNode left;
 *     TreeNode right;
 *     TreeNode() {}
 *     TreeNode(int val) { this.val = val; }
 *     TreeNode(int val, TreeNode left, TreeNode right) {
 *         this.val = val;
 *         this.left = left;
 *         this.right = right;
 *     }
 * }
 */
class Solution {

    int ret = 0;
    int count = 0;
    public int kthSmallest(TreeNode root, int k) {
        count = k;
        dfs(root);
        return ret;
    }

    void dfs (TreeNode root){
        if(root == null || count == 0){
            return;
        }
        dfs(root.left);

        count --;

        // 剪枝  
        if(count == 0){
            ret = root.val;
        }

        // 剪枝  
        if(count == 0){
            return;
        }
        dfs(root.right);

    }
}

以上就是本篇博客的全部内容啦,如有不足之处,还请各位指出,期待能和各位一起进步!