「递归算法」:验证二叉搜索树

65 阅读2分钟

一、题目

给你一个二叉树的根节点 root ,判断其是否是一个有效的二叉搜索树。

有效 二叉搜索树定义如下:

  • 节点的左子树只包含 小于 当前节点的数。
  • 节点的右子树只包含 大于 当前节点的数。
  • 所有左子树和右子树自身必须也是二叉搜索树。

示例 1:

编辑

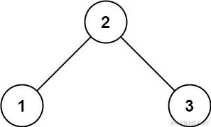
输入:root = [2,1,3]
输出:true

示例 2:

编辑

输入:root = [5,1,4,null,null,3,6]
输出:false
解释:根节点的值是 5 ,但是右子节点的值是 4

提示:

  • 树中节点数目范围在[1, 104]
  • -231 <= Node.val <= 231 - 1

二、思路解析

开始我先说这道题要用到的一条定理:二叉搜索树的中序遍历,其结果是一个递增序列

证明过于简单,画图即可,在此不做赘述。

二叉树的例题,我们都得先判断这棵树是否为空树,也就是 root 是否为 null ,是的话返回 true 即可,因为这也是符合题目要求的一颗二叉搜索树。

而具体的实现,就需要用到刚开头提到的定理,做一个中序遍历。

因此,首先递归调用函数本身,把 root. left 传过去。

注意这里可以做一个优化:定义一个布尔类型变量,用于接受我们刚刚的递归调用,如果返回的是 false ,那就证明他左子树中有元素大于根节点,不满足二叉搜索树的定义,直接 return 掉。

这步优化也就是所谓的 剪枝

按照中序遍历,接下来依次轮到根节点和右子树了,先定义一个 cur 节点来判断根节点是否大于其左子树的值,是的话返回 true ,反之亦然。

然后也是一步剪枝操作来优化。

这里有一个小细节, “左子树的值” 我在开始的时候定义成了全局变量,省去了每一次递归都要传值的繁琐。

最后就是右子树的遍历了,同样也是递归调用函数本身,跟左子树区别仅在于传值的不同。

具体实现请看下面代码👇

三、完整代码

/**
 * Definition for a binary tree node.
 * public class TreeNode {
 *     int val;
 *     TreeNode left;
 *     TreeNode right;
 *     TreeNode() {}
 *     TreeNode(int val) { this.val = val; }
 *     TreeNode(int val, TreeNode left, TreeNode right) {
 *         this.val = val;
 *         this.left = left;
 *         this.right = right;
 *     }
 * }
 */
class Solution {

    long prev = Long.MIN_VALUE;

    public boolean isValidBST(TreeNode root) {
        if(root == null){
            return true;
        }

        boolean left = isValidBST(root.left);
        
        // 剪枝            
        if(left == false){
            return false;
        }

        boolean cur = false;
        if(root.val > prev){
            cur = true;
        }

        // 剪枝
        if(cur == false){
            return false;
        }        

        prev = root.val;
        boolean right = isValidBST(root.right);

        return left && cur && right;
    }
}

以上就是本篇博客的全部内容啦,如有不足之处,还请各位指出,期待能和各位一起进步!