「递归算法」:二叉树的所有路径

53 阅读1分钟

一、题目

给你一个二叉树的根节点 root ,按 任意顺序 ,返回所有从根节点到叶子节点的路径。

叶子节点 是指没有子节点的节点。

示例 1:

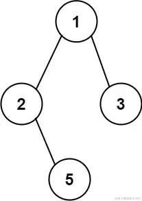
编辑

输入:root = [1,2,3,null,5]
输出:["1->2->5","1->3"]

示例 2:

输入:root = [1]
输出:["1"]

提示:

  • 树中节点的数目在范围 [1, 100]
  • -100 <= Node.val <= 100

二、思路解析

在后面的递归算法中,总是要用到 全局变量 这一技巧来记录每次递归的结果。

而在涉及 恢复现场 的题目中,则最好使用 局部变量 来记录,以避免恢复现场太过困难的情况。

按照上述思想,我定义了一个全局的 ret 变量,和一个局部 path 变量。

接下来就是字符串的拼接等基础操作了,最难的地方还是在上面。

想清楚如何记录每一次递归的结果,以及如何恢复现场,答案基本就出来了。

三、完整代码

/**
 * Definition for a binary tree node.
 * public class TreeNode {
 *     int val;
 *     TreeNode left;
 *     TreeNode right;
 *     TreeNode() {}
 *     TreeNode(int val) { this.val = val; }
 *     TreeNode(int val, TreeNode left, TreeNode right) {
 *         this.val = val;
 *         this.left = left;
 *         this.right = right;
 *     }
 * }
 */
class Solution {

    List<String> ret;

    public List<String> binaryTreePaths(TreeNode root) {
        ret = new ArrayList<>();
        dfs(root , new StringBuffer());
        return ret;
    }

    void dfs(TreeNode root , StringBuffer path_){
        StringBuffer path = new StringBuffer(path_);
        path.append(Integer.toString(root.val));
        if(root.left == null && root.right == null){
            ret.add(path.toString());
            return;
        }

        path.append("->");
        if(root.left != null){
            dfs(root.left , path);
        }

        if(root.right != null){
            dfs(root.right , path);
        }
    }
}

以上就是本篇博客的全部内容啦,如有不足之处,还请各位指出,期待能和各位一起进步!