94.二叉树的中序遍历

60 阅读1分钟

94.二叉树的中序遍历

给定一个二叉树的根节点 root ,返回 它的 中序 遍历

示例 1:

img

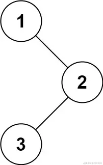
输入:root = [1,null,2,3]
输出:[1,3,2]

示例 2:

输入:root = []
输出:[]

示例 3:

输入:root = [1]
输出:[1]

提示:

  • 树中节点数目在范围 [0, 100]
  • -100 <= Node.val <= 100

进阶: 递归算法很简单,你可以通过迭代算法完成吗?


直接递归

public class Problem_0094_BinaryTreeInorderTraversal {
    public static class TreeNode {
        int val;
        TreeNode left;
        TreeNode right;
    }

    public List<Integer> inorderTraversal(TreeNode root) {
        List<Integer> res = new ArrayList<>();
        inMid(root, res);
        return res;
    }

    private void inMid(TreeNode root, List<Integer> res) {
        if (root == null) {
            return;
        }
        inMid(root.left, res);
        res.add(root.val);
        inMid(root.right, res);
    }
}