RCNN系列模型

122 阅读3分钟

RCNN系列模型

1. RCNN

论文:Rich feature hierarchies for accurate object detection and semantic segmentation

地址:arxiv.org/abs/1311.25…

分为两个阶段:

  • 目标候选框Object Proposals
  • Proposals缩放后放入CNN网络

目标候选框的实现:区域提案方法(Extract region proposals):使用选择性搜索selective search提取2000个候选区域,经过得到的(x',y',w',h')与现实标注(x,y,w,h)以欧式距离损失做回归

对候选框bounding box进行评分和整合。

selective search

使用一种过分隔方法,将图片分隔成比较小的区域

计算所有临近区域之间的相似性,包括颜色、纹理、尺度等

将相似度比较高的区域合并到一起

计算合并区域和临近区域到相似度

迭代合并,知道整个图片变成一个区域。

在选取候选框的时候,除了选择性搜索,还可以使用边缘框edge boxes的方法。

|518

RCNN过程

  • 一张图像生成1000到2000个候选区域(使用selective search方法)
  • 对每个候选区域,使用深度网络提取特征(卷积池化)
  • 特征送入每一类SVM分类器,判别是否属于该类
  • 使用回归器精细修正候选框位置

|422

不是一个端到端的结构,整体结构比较松散。

  1. 候选区域的生成

    利用Selective Search算法通过图像分割的方法得到一些原始区域,然后使用一些合并策略将这些区域合并,得到一个层次化的区域结构,而这些结构就包含着可能需要的物体。

  2. 对每个候选区域,使用深度网络提取特征

    将2000个候选区域缩放到277×277pixel277\times 277 pixel,接着将候选区域输入事先训练好的AlexNet CNN网络中,获取4096维到特征,得到2000×40962000\times 4096维矩阵。

  3. 特征送入每一类的SVM分类器,判定类别

    2000×40962000\times4096维特征与20个SVM组成的权值矩阵4096×204096\times20相乘,获得2000×202000\times20维矩阵表示每个建议框是某个目标类别的得分。分别对上述2000×202000\times20维矩阵中每一列即每一类进行非极大值抑制剔除重叠建议框,得到该列即该类中得分最高的一些建议框。

  4. 使用回归器精细修正候选框位置 - 依然是针对CNN输出的特征向量进行预测

    对NMS处理后剩余的建议框进一步筛选。接着分别用20个回归器对上述20个类别中剩余的建议框进行回归操作,最终得到每个类别的修正后的得分最高的bounding box。

    如图,黄色框口P表示建议框Region Proposal,绿色窗口G表示世纪框Ground Truth,红色窗口G^\hat G表示Region Proposal进行回归后的预测窗口,可以用最小二乘法解决的线性回归问题。

|366

非极大值抑制(NMS)

非极大值抑制,为了去除冗余的检测框。

在对conv5后的特征图,接入SVM进行打分,打好分后做非极大值抑制。

非极大值抑制过程:

  • 假设有3个框,根据SVM的打分顺序:概率从大到小为A、B、C
  • 判断B、C与A的重复率IoU是否大于阀值,如果大于阀值,则丢弃。如果小于阀值,则保留。
  • 保留下来的框,根据打分排序,重复上诉过程。

|478

IoU 交并比

|380

Bounding-box regression是用来微调窗口的。

(x,y,w,h)x,y为平移,w,h为尺度缩放。

RCNN框架


2. Fast-RCNN

论文:Fast R-CNN

地址:arxiv.org/abs/1504.08…

Fast R-CNN是继R-CNN之后的又一力作。同样使用VGG16作为网络的backbone,与R-CNN相比,训练时间快6倍,测试推理时间快213倍,准确率从62%提升至66%(在Pascal VOC数据集上)。

Fast RCNN算法流程

  • 一张图像生成1000到2000个候选区域(使用Selective Search方法)
  • 将图像输入网络得到相应的特征图,将SS算法生成的候选框投影到特征图上获得相应的特征矩阵
  • 将每个特征矩阵通过ROI Pooling层缩放到7×77\times 7大小的特征图,接着将特征图展平通过一系列全连接层得到预测结果。

一次性计算整张图像特征。不限制输入图像的尺寸。Fast-RCNN将整张图像送入网络,紧接着从特征图上提取相应的候选区域。这些候选区域的特征不需要再重复计算。而对于R-CNN,是一次将候选框区域输入卷积神经网络得到特征。

分类器,输出N+1个类别的概率(N为检测目标的种类,1为背景),用N+1个节点。

边界框回归器,输出对应N+1个类别的候选边界框回归参数(dx,dy,dw,dh)(d_x,d_y,d_w,d_h),共(N+1)×4(N+1)\times4个节点。

Fast RCNN损失函数

|502

分类损失:Lcls(p,u)=logpuL_{cls}(p,u) = -logp_u

边界框回归损失:

Lloc(tu,v)=i{x,y,w,h}smoothL1(tiuvi)smoothL1(x)={0.5x2   ifx<1x0.5   otherwiseL_{loc}(t^u,v) = \sum_{i\in\{x,y,w,h\}}smooth_{L_1}(t^u_i-v_i) \\ smooth_{L_1}(x) = \begin{cases} 0.5x^2 \ \ \ if |x|<1 \\ |x|-0.5 \ \ \ otherwise \end{cases}

补充:Cross Entropy Loss交叉熵损失

  1. 针对多分类问题(softmax输出,所有输出概率和为1)

    H=ioilog(oi)H = -\sum_io^*_ilog(o_i)
  2. 针对二分类问题(sigmoid输出,每个输出节点之间互不干预)

    H=1Ni=1N[oilogoi+(1oi)log(1oi)]H = -\frac{1}{N}\sum^N\limits_{i=1}[o^*_ilogo_i+(1-o^*_i)log(1-o_i)]

    其中oio^*_i为真实标签值,oio_i为预测值,默认loglogee为底等于lnln

Fast RCNN框架


3. Faster-RCNN

论文:Faster R-CNN: Towards Real-Time Object Detection with Region Proposal Networks

网址:arxiv.org/abs/1506.01…

Faster RCNN是继Fast RCNN后的又一力作。同样适用VGG16作为网络的backbone。

RNP+Fast R-CNN

Faster RCNN算法流程

  • 将图像输入网络得到相应的特征图
  • 使用RPN结构生成候选框,将RPN生成的候选框投影到特征图上获得相应的特征矩阵
  • 将每个特征矩阵通过ROI Pooling层缩放到7×77\times 7大小的特征图,接着将特征图展平通过一系列全连接层得到预测结果。

|446

RPN网络

|450

对于特征图上的每个3×33\times 3的滑动窗口,计算出滑动窗口中心点对应原始图像上的中心点,并计算出k个anchor boxes(注意和proposal的差异)

|456

需要提前设定好k个不同尺寸比例的anchor。在faster rcnn中给了三个尺度和三个比例。

三种尺度(面积):128225625122128^2,256^2,512^2,(面积具体数字,论文中说是根据经验所得)

三种比例:1:11:22:11:1,1:2,2:1

意思就是,在1282128^2这个尺度上,有1:11:22:11:1,1:2,2:1三个anchor,在2562256^2这个尺度上,有1:11:22:11:1,1:2,2:1三个anchor,在5122512^2这个尺度上,有1:11:22:11:1,1:2,2:1三个anchor。分别来负责检测不同大小的物体。

每个位置(每个滑动窗口)在原图上都对应有3×3=93\times 3=9个anchor。

但是存在一个问题,VGG的感受野为228,那怎么去预测一个比它大的目标的边界框呢?如去预测25625122256^2,512^2尺度上的物体。论文中说,通过一个小的感受野去预测一个比它大的目标的边界框是有可能的,根据经验,我们看到一个物体的一部分,可以猜出这个物体的位置区域。

对于一张1000×600×31000\times 600\times 3的图像,大约有60×40×9(20k)60\times 40\times 9(20k)个anchor,忽略跨越边界的anchor以后,剩下约6k6k个anchor。对于RPN生成的候选框之间存在大量重叠,基于候选框的clscls得分,采用非极大值抑制,IoUIoU设置为0.7,这样每张图片只剩2k个候选框。

在原论文中k=9

利用RPN生成的边界框回归参数将anchor调整到我们所需要的候选框。

对于每张图片,上万个anchor中,采样256个anchor,由正样本和负样本两部分组成,比例大概为1:1。如果正样本个数不足128,则用负样本进行填充。

定义为正样本的方式:

  • 只要anchor与ground-truth box的IoU大于0.7,则这个anchor为正样本。
  • anchor与某个ground-truth box拥有最大的IoU,则也认为它为正样本。

定义为负样本的方式:

  • 与所有ground-truth box的IoU小于0.3的anchor,则定义为负样本

对于正样本与负样本之外的所有anchor,则丢弃掉。

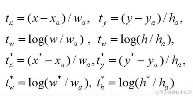
RPN损失函数

|550

  • pip_i表示第ii个anchor存在目标的概率
  • pip^*_i当为正样本时为1,当为负样本时为0
  • tit_i表示预测第ii个anchor的边界框回归参数
  • tit^*_i表示第ii个anchor对应的GT Box
  • NclsN_{cls}表示第一个mini-batch中的所有样本数量256
  • NregN_{reg}表示anchor位置的个数(不是anchor个数)约2400

分类损失:二值交叉熵损失

回归损失:

|608

|516

Faster R-CNN训练

直接采用RPN Loss + Fast R-CNN Loss的联合训练方法

原论文中采用分别训练RPN以及Fast R-CNN的方法:

  • 利用ImageNet预训练分类模型初始化前置卷积网络层参数,并开始单独训练RPN网络参数。
  • 固定RPN网络独有的卷积层以及全连接层参数,再利用ImageNet预训练分类模型初始化前置卷积网络参数,并利用RPN网络生成的目标建议框去训练Fast RCNN网络参数。
  • 固定利用Fast RCNN训练好的前置卷积网络层参数,去微调RPN网络独有的卷积层以及全连接层参数。
  • 同样保持固定前置卷积网络层参数,去微调Fast RCNN网络的全连接层参数。最后RPN网络与Fast RCNN网络共享前置卷积网络层参数,构成一个统一网络。

Faster-RCNN框架