基于遗传优化的多属性判决5G-Wifi网络切换算法matlab仿真

59 阅读5分钟

1.算法运行效果图预览

1.jpeg

2.jpeg

3.jpeg

4.jpeg

5.jpeg

6.jpeg

2.算法运行软件版本

MATLAB2022a

 

 

3.算法理论概述

        整个网络由一个5G基站,一个WIFI基站,以及一个移动终端设备构成。移动终端设备首先位于有5G网络环境,随后运动进入5G/WIFI的异构融合网络,进行网络的切换判决,最后移出该融合网络,再次进入5G网络覆盖范围。

 

       本文提出了一种基于遗传优化的多属性判决5G-Wifi网络切换算法,该算法通过结合遗传算法和多属性决策理论,实现了对网络切换过程的优化和加速。具体来说,我们首先使用遗传算法对网络切换过程中的参数进行优化,然后使用多属性决策方法对网络的多个属性进行综合评估,以得到最优的网络切换决策。

 

       我们首先定义网络切换的问题模型。设网络的属性集合为A={a1, a2, ..., an},其中每个属性ai表示网络的某个特性,如带宽、延迟、信号强度等。设网络集合为N={n1, n2, ..., nm},其中每个网络nj表示一个可用的网络。我们的目标是在给定的时刻t,找到一个最优的网络n*∈N,使得网络切换后的综合性能最佳。为了量化网络的综合性能,我们引入一个多属性判决函数F,该函数将网络的多个属性映射到一个实数空间:

 

F: A→R (1)

 

        其中R表示实数集。这个函数可以根据不同的应用场景和需求,采用不同的形式和权重。例如,可以采用加权平均法、TOPSIS法等方法来构建。

 

      算法的基本步骤如下:

 

第一:进行RSS的计算;

 

第二:根据反馈门限和RSS进行网络的识别,区分存在一个网络和两个网络;

 

第三:在存在两个网络的情况下进行AHP分层,获得多属性参数;

 

第四:初始化计算多属性参数的加权值;

 

第五:使用改进后的遗传算法,对加权值进行优化;

 

第六:设计一种结合用户QOS的网络收益函数,用来判断是否切换;

 

第七:门限的调整,驻留时间的调整

 

其中,遗传算法的适应度函数如下:

e2985f7ec86285fde32f6410bca97dbf_82780907_202401290015550928490506_Expires=1706459155&Signature=WsbQprB%2Bl9pB8AGLO6fUpevUgKc%3D&domain=8.png  

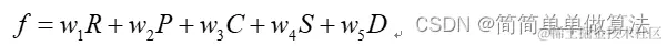
我们对五个属性参数进行简单的介绍:

 

网络覆盖范围R:网络覆盖范围定义为设备和网络基站之间的间隔。

 

信号强度P:即RSS值。

 

网络的使用费用C:使用费用值为不同的单位流量的费用。

 

服务速率S:即不同的网络的速率。

 

传输延迟D:即不同的网络的延迟

 

 

 

 

4.部分核心程序 `%接收功率、网络覆盖范围、速率、费用价格

%P5g,D5g,S5g,L5g,C5g

C=[1,        3,  5, 7, 9;

   1/3, 1,  3, 5, 7;

   1/5,    1/3,1, 3, 5;

   1/7,    1/5, 1/3, 1,      3;

   1/9,    1/7, 1/5, 1/3,   1];

          %获得收益函数

          %获得收益函数

          f5g = (Rs(1,1)^w1)(Rs(1,2)^w2)(Rs(1,3)^w3)(Rs(1,4)^w4)(Rs(1,5)^w5) + TQOS_5g;

          fwf = (Rs(2,1)^w1)(Rs(2,2)^w2)(Rs(2,3)^w3)(Rs(2,4)^w4)(Rs(2,5)^w5) + TQOS_wf;

          %进行判决

          %进行判决

          if f5g > fwf

             f1(i) = 1;

             T1_5g = T1_5g + 1;

          else

             f1(i) = 0;

             T1_wf = T1_wf + 1;

          end

          if abs(f5g-fwf) < 1

             STOP_TIME=STOP_TIME-1;

          else

             STOP_TIME=STOP_TIME+1; 

          end

          STOP_TIME=min(STOP_TIME,36);

          STOP_TIME=max(STOP_TIME,4);

          %驻留时间

          %驻留时间

          if i > STOP_TIME

             C1(i) = mean(f1(i-STOP_TIME+1:i));

             C2    = mean(C1(i-STOP_TIME+1:i));

             f0(i) =(sign(C2-0.49)+1)/2;

          else

             C1(i) = mean(f1(1:i)); 

             C2    = mean(C1(1:i));

             f0(i) =(sign(C2-0.49)+1)/2;

          end

          %计算收益值变化值,如果变换较大,则反馈更新权值,否则权值不变

          %计算收益值变化值,如果变换较大,则反馈更新权值,否则权值不变

          ERR = abs(fwf-f5g);

          if ERR < 1

             is_opt = 0;

          else

             is_opt = 1; 

          end

       else

           %存在远大于的情况,则认为是只检测一个网络

           if RSS_5G   >= Beta*RSS_WIFI%5G远大于WIFI 

              f1(i) = 1;

              RSS   = RSS_5G;

              T1_5g = T1_5g + 1;

           end

           if RSS_WIFI >= Beta*RSS_5G%WIFI远大于5G

              f1(i) = 0;

              RSS   = RSS_WIFI;

              T1_wf = T1_wf + 1;

           end 

           %驻留时间

           %驻留时间

           if i > STOP_TIME

              C1(i) = mean(f1(i-STOP_TIME+1:i));

              C2    = mean(C1(i-STOP_TIME+1:i));

              f0(i) =(sign(C2-0.49)+1)/2;

           else

              C1(i) = mean(f1(1:i)); 

              C2    = mean(C1(1:i));

              f0(i) =(sign(C2-0.49)+1)/2;

           end

       end  

    end

   

    %门限更新

    Tt(i) = 0.5*RSS;

    if i == 1

       T = Tt(i)

    else

       T = alpha*Tt(i) + (1-alpha)*Tt(i-1);%门限做二次平滑

    end

    %统计切换次数

    if i > 3

        if abs(f0(i)-f0(i-1))>0.1

           count = count + 1;

        end

        CNT(i)=count;

    end

end%Over i = 1:N

 

 

 

figure;

plot(f0,'b','Linewidth',2);

hold on;

plot(1:N,0.5*ones(1,N),'r','Linewidth',2);

grid on;

xlabel('Times');

ylabel('判决门限');

axis([0,N,-0.2,1.2]);

text(N/4,1.1,'接入5G')

text(3*N/4,0.1,'接入WIFI')

title('本课题算法');

 

figure;

plot(1:N,CNT,'r','Linewidth',2);

grid on;

xlabel('Times');

ylabel('切换次数');

title('本课题算法');

save R1.mat f0 N CNT`