24. 两两交换链表中的节点

45 阅读1分钟

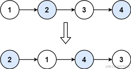
给你一个链表,两两交换其中相邻的节点,并返回交换后链表的头节点。你必须在不修改节点内部的值的情况下完成本题(即,只能进行节点交换)。力扣题目

 

示例 1:

输入: head = [1,2,3,4]
输出: [2,1,4,3]

示例 2:

输入: head = []
输出: []

示例 3:

输入: head = [1]
输出: [1]

 

提示:

  • 链表中节点的数目在范围 [0, 100] 内
  • 0 <= Node.val <= 100

解题思路:

//dummy-->1-->2-->3-->4-->5 
//cur =dummy //temp = 3 
//临时节点 node1=1 
//cur-->2 
//2-->1 
//1-->3 
//cur-->1
/**
 * Definition for singly-linked list.
 * public class ListNode {
 *     int val;
 *     ListNode next;
 *     ListNode() {}
 *     ListNode(int val) { this.val = val; }
 *     ListNode(int val, ListNode next) { this.val = val; this.next = next; }
 * }
 */
class Solution {
    public ListNode swapPairs(ListNode head) {
        
        ListNode dummy = new ListNode(-1,head);
        ListNode cur = dummy;
        while(cur.next != null && cur.next.next !=null){
            //dummy-->1-->2-->3-->4-->5
            //cur =dummy
            //temp = 3
            //临时节点 node1=1
            //cur-->2
            //2-->1
            //1-->3
            //cur-->1
            ListNode temp = cur.next.next.next;
            ListNode node1 = cur.next;
            cur.next = cur.next.next;
            cur.next.next=node1;
            node1.next =temp;
            cur= node1;
        }
        return dummy.next;
    }
}