二叉搜索树(BST)

277 阅读10分钟

BST性质

二叉搜索树(Binary Search Tree,BST)是一种二叉树数据结构,也叫二叉排序树其中每个节点最多有两个子节点,通常称为左子树和右子树。二叉搜索树具有以下性质:

  • 若左子树不为空,左子树所有结点的值都比根节点值小
  • 若右子树不为空,右子树 所有结点的值都比根节点值大
  • 根结点的左右子树也是二叉搜索树

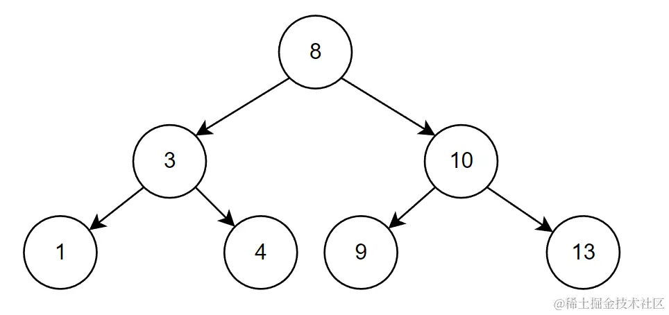
比如下图是搜索二叉树

image.png 下图不是搜索二叉树(左子树值比根结点值大,不符合性质) image.png

BST实现

实现BST,先构建一个结点类。结点需要三个成员变量,结点的值,左孩子和右孩子

template<class K>
struct BStreeNode
{
	BStreeNode<K>* _left;//左孩子
	BStreeNode<K>* _right;//右孩子
	K _key;//结点值
        //构造
	BStree(const K& key = K())
		:_left(nullptr)
		, _right(nullptr)
		, _key(key)
	{}
};

BST类接口

template<class K>
class  BSTree 
{
	typedef BStreeNode<K> Node;
public:
	//构造
	BSTree();

	//拷贝构造
	BSTree(const BSTree<K>& bst);

	//赋值运算符
	BSTree<K>& operator=(BSTree<K> t);

	//析构
	~BSTree();

	//插入
	void Insert(cosnt K& key);

	//删除
	void Erase(cosnt K& key);

	//查找
	Node* Find(cosnt K& key);
private:
	Node _root;
};

构造函数

初始化一个空的BST

BSTree()
    :_root(nullptr)
{}

拷贝构造函数

拷贝构造需要完成深拷贝,将现有的BST拷贝给一个新的BST即可,需要递归进行拷贝。而拷构造函数是成员函数
C++成员函数递归时,一般在套一层子函数进行递归

image.png

Node* _Copy(Node* root)
{
    if (root == nullptr)
    {
            return nullptr;
    }
    Node* node_copy = new Node(root->_key);
    node_copy->_left = _Copy(root->_left);//拷贝左子树
    node_copy->_right = _Copy(root->_right);//拷贝右子树
    return node_copy;
}
BSTree(const BSTree<K>& bst)
{
    _root = _Copy(bst._root);
}

赋值运算符重载

  • 赋值时,如果当前对象有内容,应该先删除当前对象
  • 在完成深拷贝
//释放时要自底向上释放,否则找不到左右孩子结点了
void _Destoy(Node* root)
{
    if (nullptr == root)
    {
            return;
    }
    _Destoy(root->_left);
    _Destoy(root->_right);
    delete root;
}
BSTree<K>& operator=(BSTree<K> t)
{
    if (&t != this)//防止自己给自己赋值
    {
            _Destory(this->_root);//删除当前对象
            _root = _Copy(t._root);
    }
}

析构函数

自底向上依次删除,最后置空即可

~BSTree()
{
    _Destory(_root);
    _root = nullptr;
}
void _Destory(Node* root)
{
        if (nullptr == root)
        {
                return;
        }
        _Destory(root->_left);
        _Destory(root->_right);
        delete root;
}

插入元素

插入时,可以分为以下两种情况:

  • 空树:直接将待插入元素做为根节点
  • 非空:根据二叉树得性质进一步细分情况

非空:
1. 待插入元素小于根节点的值。
将待插入元素插入到根节点左子树中,在根据其性质继续判断,当遇到叶子结点时,就可以确定插入元素最终的位置

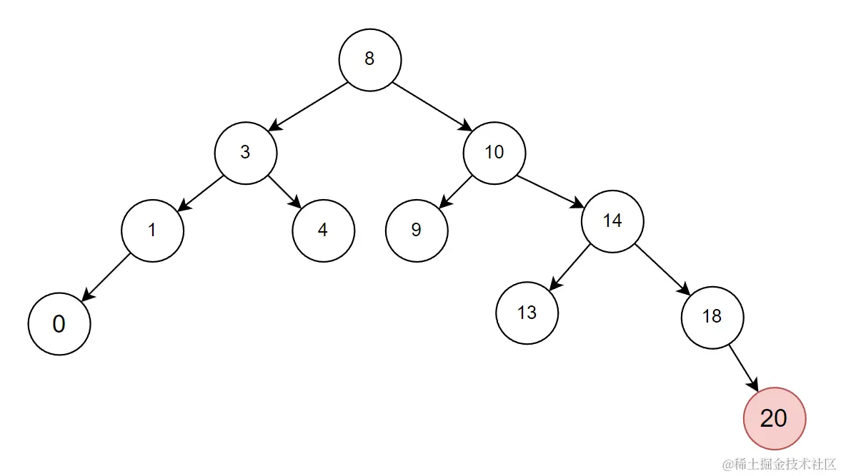
比如对下面二叉搜索树插入0

  • 0比根节点8小,需要将其插入到左子树中
  • 0和左子树3比较,还是小,继续向3的左子树插入
  • 0和左子树1比较,还是小,继续向1的左子树插入。此时1是叶子结点,也就确定了插入元素的最终位置。

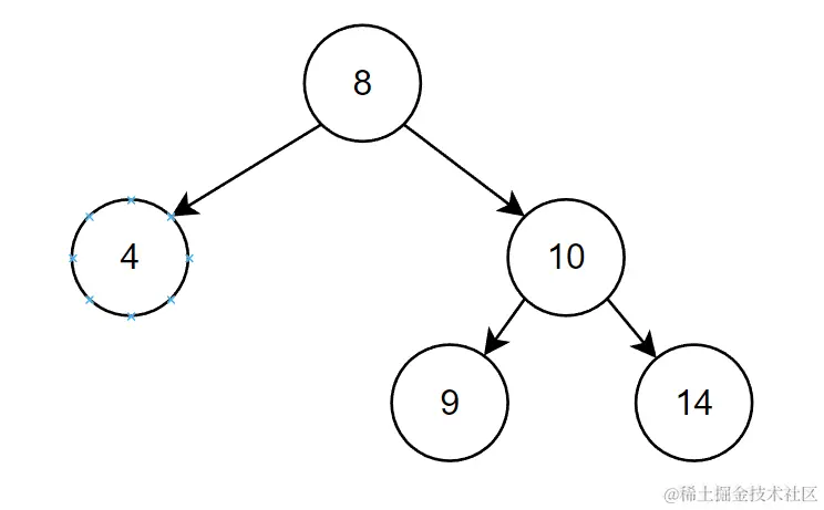
image.png 2.待插入元素大于根节点的值
将待插入元素插入到根节点右子树中,在根据其性质继续判断,当遇到叶子结点时,就可以确定插入元素最终的位置

比如对下面二叉搜索树插入20

  • 20比根节点大,需要将其插入到根节点右子树中。
  • 20比右子树10大,需要将其插入到10的右子树中。
  • 20比右子树14大,需要将20插入到14的右子树中。
  • 20比右子树18大,需要将20插入到18的右子树中。此时18是叶子节点,也就确定了20最终插入的位置

image.png

  • 待插入元素等于根节点的值
    默认的二叉搜索树不允许数据冗余,当和根节点值相等时,则插入失败。如果和跟结点不相等,则继续判断。如果和树中任意一个结点的值相等,就不允许插入。

根据上述的思路,实现BST插入的代码如下 递归实现

bool _Insert(Node* &root, const K& key)//注意 参数要传引用
{
    //空树 or 叶子结点
    if (root == nullptr)
    {
            root = new Node(key);
            return  true;
    }
    //非空
    if (root->_key > key)//小于根节点
    {
            return _Insert(root->_left, key);
    }
    else if (root->_key < key)//大于根节点
    {
            return _Insert(root->_right, key);
    }
    else //等于根节点
    {
            return false;
    }
}
//插入
bool Insert(const K& key)
{
    return _Insert(_root, key);//调用子函数进行递归
}

非递归实现

bool Insert(const K& key)
{
    //空树
    if (_root == nullptr)
    {
        _root = new Node(key);
        return true;
    }
    //非空 
    Node* cur = _root;
    Node* parent = nullptr;
    while (cur != nullptr)
    {
        if (cur->_key > key)//小于插入到左树
        {
                parent = cur;
                cur = cur->_left;
        }
        else if (cur->_key < key)//大于插入到右树
        {
                parent = cur;
                cur = cur->_right;
        }
        else//相等插入失败
        {
                return false;
        }
    }

    //经过上面的比较 以及确定插入的位置,下面申请结点进行连接
    cur = new Node(key);
    //根据BST性质确定插入到父结点的左边还是右边
    if (parent->_key > key)
    {
        parent->_left = cur;
    }
    else
    {
        parent->_right = cur;
    }
    return true;
}

查找元素

按照BST性质,比根节点大就去右子树进行查找,比根节点小,就去左子树中查找 递归实现

//递归查找
Node* _Find(Node* root, const K& key)
{
    if (root == nullptr)
        return nullptr;

    if (root->_key == key)
    {
        return root;
    }

    if(root->_key < key)
    {
        return _Find(root->_right, key);
    }
    else
    {
        return _Find(root->_left, key);
    }
}

Node* Find(const K& key)
{
    return _Find(_root, key);
}

非递归实现

Node* Find(const K& key)
{
    if (_root == nullptr)
    {
        return nullptr;
    }

    Node* cur = _root;
    while (cur != nullptr)
    {
        if (cur->_key == key)
        {
                return cur;
        }
        else if (cur->_key > key)
        {
                cur = cur->_left;
        }
        else
        {
                cur = cur->_right;
        }
    }

    //无
    return nullptr;
}

删除元素

删除结点之后,仍然需要这棵树保持二叉搜索树的特征。需要考虑多种情况。相对就很复杂。
首先查找元素是否在二叉搜索树中,如果不存在,则返回, 否则要删除的结点可能分下面四种情况:
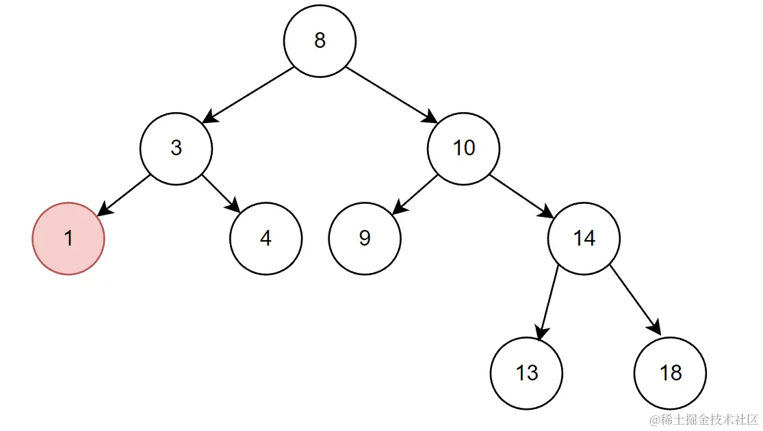
1. 要删除的结点是叶子结点(没有左孩子和右孩子)
比如删除下面树的1

image.png 对于叶子结点来说,可以直接删除,删除并不会影响二叉搜索树的性质

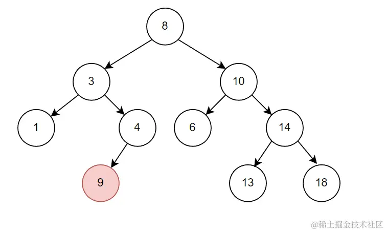
2. 要删除的结点只有左孩子结点
比如对下面这棵树删除14。

image.png 结点14只有左孩子,并不能直接删除。这种情况相对也比较好解决,可以直接将删除结点的左子树移动到父结点的位置上。这种方法也叫托孤法。将自己的左孩子结点托孤给自己的父结点。
删除后,如下

image.png

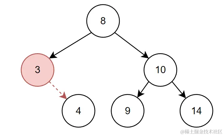
3. 要删除的结点只有右孩子结点
比如删除下图树中的3

image.png 结点3只有右孩子,也不能直接删除。这里的解决方法也采用托孤法。直接将右子树移动到父结点的位置 删除后如下

image.png

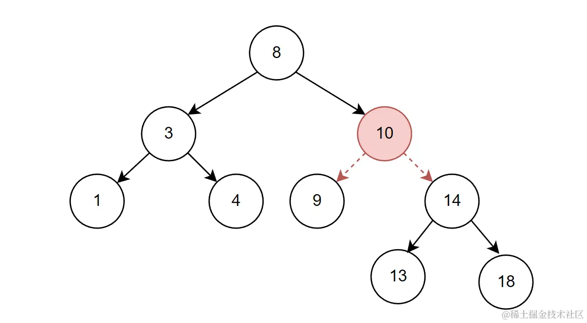
4. 要删除的结点既有左孩子又有右孩子
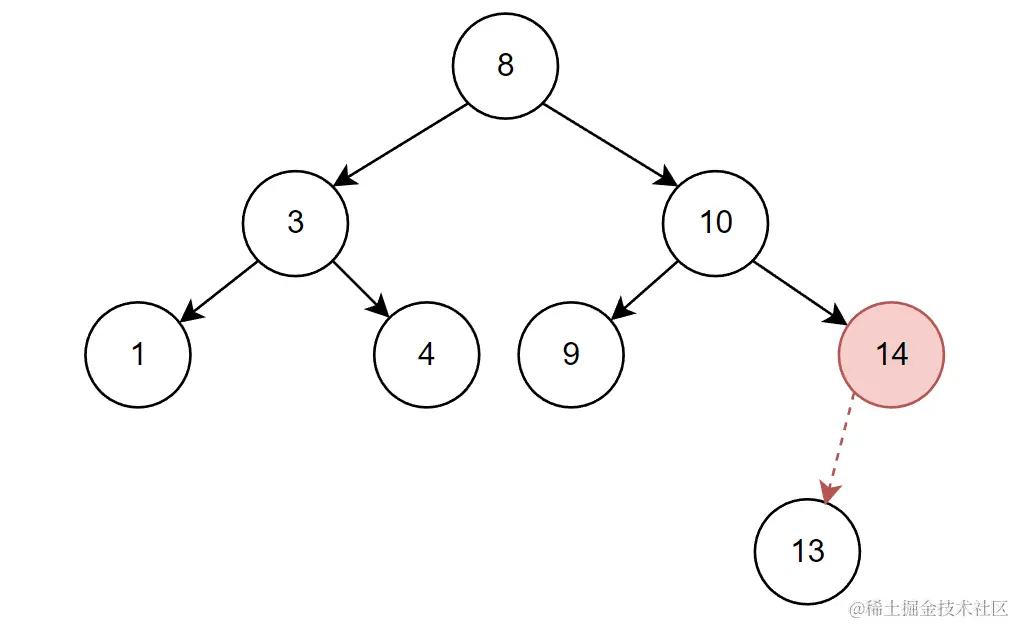
比如删除10,既有左子树,又有右子树。甚至还有子孙节点。

image.png

解决这种情况,可以使用替换法进行删除。
可以将让待删除结点左子树当中值最大的结点,或是待删除结点右子树当中值最小的结点覆盖待删除结点进行删除
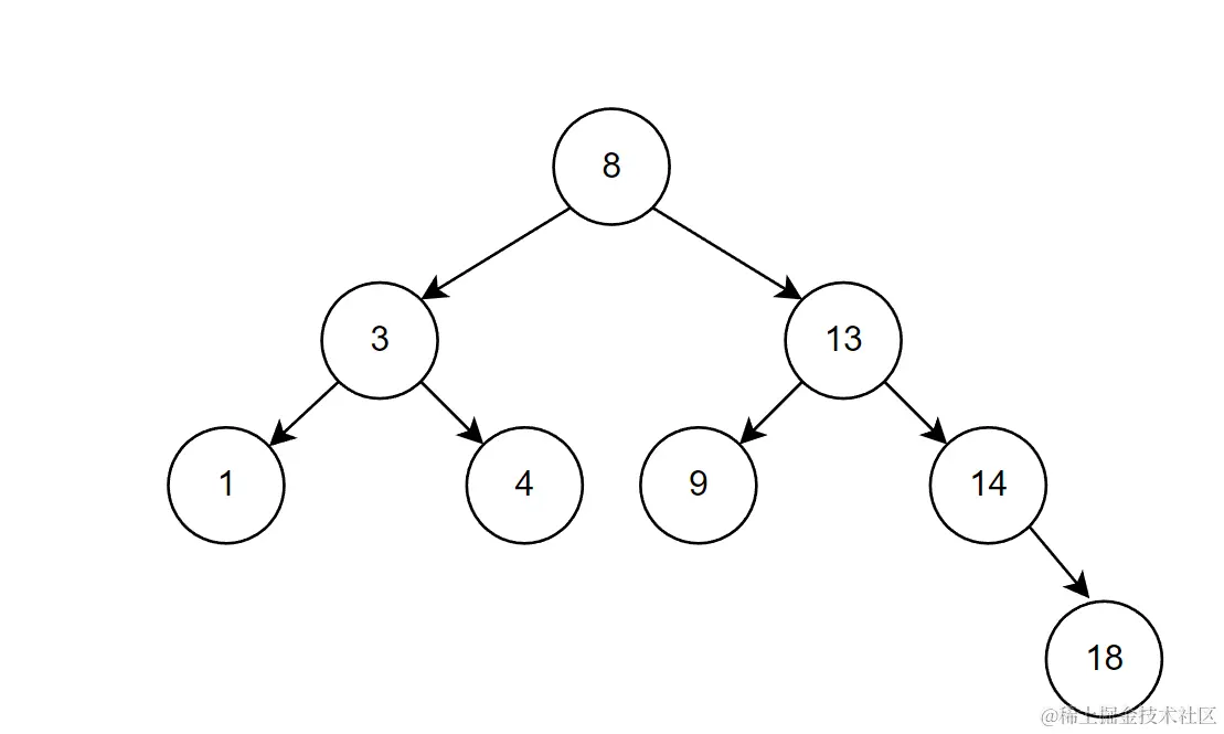
删除10。 右子树值最小节点为13。直接让13移动到10的位置进行覆盖删除即可。

image.png 总结: 可以将上面的第1种和第2、3种情况合并一下,删除节点是可以划分为三种情况。

  • 删除该节点,使被删除的节点父结点指向被删除结点的左孩子结点。(直接删除)
  • 删除该结点,使被删除结点的父节点指向被删除结点的右孩子结点。(直接删除)
  • 替换法删除,在它的右子树中寻找值最小的结点进行覆盖删除

非递归实现

bool Erase(const K& key)
	{
		Node* cur = _root;
		Node* parent = nullptr;
		while (cur != nullptr)
		{
			//确定要删除结点的位置以及父结点
			if (cur->_key > key)
			{
				parent = cur;
				cur = cur->_left;
			}
			else if (cur->_key < key)
			{
				parent = cur;
				cur = cur->_right;
			}
			else//已经确定好位置,进行删除
			{
				
				if (cur->_left == nullptr)//左子树为空(直接删除)
				{
					//判断是否为根节点 对根节点进行特殊处理
					if (cur == _root)
					{
						_root = _root->_right;
					}
					else if (parent->_left == cur)
					{
						parent->_left = cur->_right;
					}
					else
					{
						parent->_right = cur->_right;
					}
					delete cur;
				}
				else if (cur->right == nullptr)//右子树为空(直接删除)
				{
					//判断是否为根节点
					if (cur == _root)
					{
						_root = _root->_left;
					}
					else if (parent->_left == cur)
					{
						parent->_left = cur->_left;
					}
					else
					{
						parent->_right = cur->_left;
					}
					delete cur;
				}
				else//左右都不为空(替换法删除)
				{
					//找到右子树最小结点替换
					Node* minRight = cur->_right;
					Node* pminRight = cur;
					while (minRight->_left != nullptr)
					{
						pminRight = minRight;
						minRight = minRight->_left;
					}

					cur->_key = minRight->_key;

					if (pminRight->_left == minRight)
					{
						pminRight->_left = minRight->_right;
					}
					else
					{
						pminRight->right = minRight->_right;
					}
					delete minRight;
				}
				return true;
			}
		}
		return false;
	}

递归法删除

bool _Erase(Node* &root, const K& key)
	{
		if (root == nullptr)
		{
			reutrn false;
		}
		//确定删除位置
		if (root->_key < key)
		{
			return _Erase(root->_right, key);
		}
		else if (root->_key > key)
		{
			return _Erase(root->_left, key);
		}
		else
		{
			//已经确定位置 进行删除
			Node* del = root;
			if (root->_right == nullptr)
			{
				root = root->_left;
			}
			else if (root->_left == nullptr)
			{
				root = root->_right;
			}
			else
			{
				Node* maxleft = root->_left;
				while (maxleft->_right)
				{
					maxleft = maxleft->_right;
				}

				swap(root->_key, maxleft->_key);

				return _EraseR(root->_left, key);
			}
			delete del;
			return true;
		}
	}
	bool Erase(const K& key)
	{
		return _Erase(_root, key);
	}

参考源码

BST 的应用

BST主要应用在两个大模型下,分别是

  • K模型
  • KV模型

K模型

K模型即只有key作为关键码,结构中只需要存储Key即可,关键码即为需要搜索到值。
比如:给定一个单词,检查单词是否拼写正确

  • 将词库中的所有单词作为key构建一颗二叉搜索树。
  • 然后在这棵二叉搜索树中检索这个单词是否在这棵树上,在则拼写正确,不在则拼写错误。 K模型主要是判断在不在的场景

KV模型

KV模型即型:每一个关键码key,都有与之对应的值Value,即<key,value>的键值对。
比如:英汉词典就是英文与中文的对应关系。通过英文快速找到中文,英文单词与其对应的中文<word,chines>就构成一种键值对。
在比如统计单词出现的次数,通过指定的单词快速找到出现的次数。单词与其对应出现的次数<word,count>就构成了一种键值对。

将上述的二叉搜索树改造为KV模型

#pragma once
#include <iostream>
using namespace std;

template<class K, class V>
struct BSTNode
{
	BSTNode<K, V> *_left;
	BSTNode<K, V> *_right;
	K _key;
	V _value;

	BSTNode(const K& key = K(), const V& value = V())
		:_left(nullptr)
		,_right(nullptr)
		,_key(key)
		,_value(value)
	{}
};

template<class K, class V>
class BSTree
{
	typedef BSTNode<K, V> Node;
public:
	bool Insert(const K& key, const V& value)
	{
		if (_root == nullptr)
		{
			_root = new Node(key, value);
			return true;
		}

		Node* parent = nullptr;
		Node* cur = _root;
		while (cur)
		{
			if (cur->_key < key)
			{
				parent = cur;
				cur = cur->_right;
			}
			else if (cur->_key > key)
			{
				parent = cur;
				cur = cur->_left;
			}
			else
			{
				return false;
			}
		}

		cur = new Node(key, value);
		// 链接
		if (parent->_key < key)
		{
			parent->_right = cur;
		}
		else
		{
			parent->_left = cur;
		}

		return true;
	}
void _Inorder(Node* root)
{
        if (root == nullptr)
        {
                return;
        }

        _Inorder(root->_left);
        cout << root->_key << ":" << root->_value << endl;
        _Inorder(root->_right);
}
void Inorder()
{
        _Inorder(_root);
}
private:
	Node* _root = nullptr;
};

主要就是修改结点类和插入函数构造新节点时将value也构造进去。其余都不用修改。

用简单的例子更好的认识KV 模型,
比如将英文翻译为中文

int main()
{
	//简单模拟构建一个字典
	BSTree<string, string> dict;
	dict.Insert("string", "字符串");
	dict.Insert("BST", "二叉搜索树");
	dict.Insert("insert", "插入");
	dict.Insert("erase", "删除");

	//输入单词进行查找并翻译
	string str;
	while (cin >> str)
	{
		auto ret = dict.Find(str);
		if (ret != nullptr)
		{
			cout << str << ':' << ret->_value << endl;
		}
		else
		{
			cout << str << ':' << "无此单词" << endl;
		}
	}
	return 0;
}

运行结果

recording.gif

在比如统计单词的个数

int main()
{
	//统计下面字符串数组中每个字符串出现的次数
	string arr[] = { "BST","string","insert","BST","erase","string","string","insert" };

	BSTree<string, int> countTree;
	//遍历arr统计单词个数
	for (auto& e : arr)
	{
		auto ret = countTree.Find(e);
		if (ret == nullptr)//不在BST中 第一次出现,插入,数量+1
		{
			countTree.Insert(e, 1);
		}
		else//在BST中,数量+1
		{
			ret->_value++;
		}
	}

	//中序遍历打印结果
	countTree.Inorder();
	return 0;
}

运行结果:

image.png