【动态规划】day75_ 337. 打家劫舍 III

74 阅读2分钟

小偷又发现了一个新的可行窃的地区。这个地区只有一个入口,我们称之为 root 。

除了 root 之外,每栋房子有且只有一个“父“房子与之相连。一番侦察之后,聪明的小偷意识到“这个地方的所有房屋的排列类似于一棵二叉树”。 如果 两个直接相连的房子在同一天晚上被打劫 ,房屋将自动报警。

给定二叉树的 root 。返回 在不触动警报的情况下 ,小偷能够盗取的最高金额 。

 

示例 1:

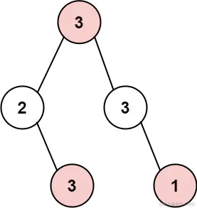
输入: root = [3,2,3,null,3,null,1]
输出: 7 
解释: 小偷一晚能够盗取的最高金额 3 + 3 + 1 = 7

示例 2:

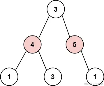
输入: root = [3,4,5,1,3,null,1]
输出: 9
解释: 小偷一晚能够盗取的最高金额 4 + 5 = 9

 

提示:

  • 树的节点数在 [1, 104] 范围内
  • 0 <= Node.val <= 104

题解:

思路:dp

  • 后序遍历,每个节点都有偷、不偷两种状态,先考虑左右子节点,再考虑父节点

时间复杂度:O(n)

空间复杂度:O(1)

/**
 * Definition for a binary tree node.
 * public class TreeNode {
 *     int val;
 *     TreeNode left;
 *     TreeNode right;
 *     TreeNode() {}
 *     TreeNode(int val) { this.val = val; }
 *     TreeNode(int val, TreeNode left, TreeNode right) {
 *         this.val = val;
 *         this.left = left;
 *         this.right = right;
 *     }
 * }
 */
class Solution {
    public int rob(TreeNode root) {
        int[] res = dfs(root);
        return Math.max(res[0], res[1]);
    }

    private int[] dfs(TreeNode node) {
        if (node == null) {
            return new int[]{0, 0};
        }

        // 分类讨论的标准是:当前结点偷或者不偷
        // 由于需要后序遍历,所以先计算左右子结点,然后计算当前结点的状态值
        int[] left = dfs(node.left);
        int[] right = dfs(node.right);

        // dp[0]:以当前 node 为根结点的子树能够偷取的最大价值,规定 node 结点不偷
        // dp[1]:以当前 node 为根结点的子树能够偷取的最大价值,规定 node 结点偷
        int[] dp = new int[2];

        dp[0] = Math.max(left[0], left[1]) + Math.max(right[0], right[1]);
        dp[1] = node.val + left[0] + right[0];
        return dp;
    }
}