23.1-哈夫曼编码与二叉字典树(数据结构基础篇)

192 阅读9分钟

23_1-哈夫曼编码与二叉字典树(数据结构基础篇)

哈夫曼编码

什么是编码

思考:在计算机当中是如何表示一个字符'a'的

有相关计算机基础知识的同学肯定都知道,我们的计算机其实是非常“笨”的,它只认识01,非黑即白,因此,无论我们要往计算机中存储什么信息,最终都是以二进制的形式存储,即存储了一段01的信息。

计算机中的编码

如果想要人眼去一一识别计算机中存储的01的信息,基本是不可能的,在我们人类的认知中,更容易让我们接受的是诸如:“a、A、0、1、2、3”等信息,因此,就需要将我们人类能够读懂的信息转换为计算机能够读懂的01的信息,这个过程,就是计算机中的编码

概念

所谓编码,就是一种信息到另一种信息的映射规则。

定长编码与变长编码

定长编码

如:ASCII码就是一个定长编码。在我们的ASCII码表中,每一个字符占一个字节,而8个二进制位就表示一个字节,也就是说,我们的ASCII码是固定长度为8的二进制表示的定长编码,如字符'a'的ASCII码表示为:97,其8位二进制表示为:01100001

定长编码的好处在于:由于定长编码代表一个字符的长度是确定的,因此,我们在编码和解码时都比较方便,直接按照这个长度截取并编码/解码即可

# 以下二进制位代表的是一个ASCII码字符的二进制串,请转换成实际的字符
01100001010000010011001000110000
# 由于ASCII码是定长编码,每8个二进制位代表一个字符,因此,我们先将上面的二进制以8个为一个单位拆开
01100001 01000001 00110010 00110000
# 然后针对每一段8位2进制找到期对应的ASCII代表的字符
    a        A        2       0
# 因此,上述二进制信息代表的是字符“aA20”

变长编码

有效的变长编码:字符编码不能是其他字符编码的前缀(非绝对,只是比较常用)。如果把编码看成是二叉树上的路径,那么所有字符都落在叶子节点上。

# 假设我们将a、A和0三个字符分别编码成以下信息:
# a
01
# A
10
# 0
11

# 我们用一个二叉树来表示0和1的编码
                    root
                /            \
               0               1
           /        \       /      \
          0          1     0         1
                     a     A         0
# 可以看出我们的字符都是落在了二叉树的叶子节点上

变长编码的应用场景:在网络传输的过程中,通过变长编码提升网络传输的效率(需要传输的数据大小变小了,传输效率自然就高了)

哈夫曼编码

哈夫曼编码是最优的变长编码

统计字符出现频率

哈夫曼编码首先会对我们待编码的字符串进行统计,将每一个字符出现的频率统计出来

建树

统计出每一个字符的出现频率之后,会每次将所有频率中最低的两个字符合并创建成一颗二叉子树,这颗二叉子树的总频率就是两个字符出现频率之和。合并之后再从所有字符频率中(包括新合并子树的频率)再挑出两个最小的创建子树,依次类推,知道将所有字符都放到了一颗二叉树中。

编码

我们将每个路径按照左0右1的原则进行编号,那么,我们每个字符所代表的编码就已经呼之欲出了。

# 假设一篇文章中出现了以下字符
hello

# 首先统计每个字符出现的频率
h: 0.2
e: 0.2
l: 0.4
o: 0.2

# 递归地将每个字母按照出现频率最低的两两建树
# 首先将h和e放到一颗二叉子树中
         0.4
       /     \
      h       e
# 然后再将新建的子树放回概率池,剩余的字符概率最低的进行建树
# 发现新建子树和字符o概率最低
             0.6
          /       \
         o        0.4
               /       \
              h         e
# 最后将l于新建子树合并
                1
            /        \
           l         0.6
                  /        \
                o          0.4
                        /        \
                       h          e
# 接下来我们将每条边都按照左0右1的规则进行编号

                 1
          0 /         \ 1
           l          0.6
                 0 /        \ 1
                 o          0.4
                       0 /        \ 1
                        h          e
# 那么,我们每个字符的编码就出来了
l: 0
o: 10
h: 110
e: 111

# 现在我们来对以下编码进行解码试试
1101110010

# 变长编码的解码规则是尽可能匹配更长的编码,匹配不上再缩小范围,按照这个规则,我们把编码划分为已下几块
110 111 0 0 10
# 依次编码得
h    e  l l  o

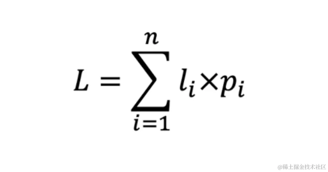
公式

image-20211119075906185

哈夫曼编码实际上是在求解上述公式,即根据出现概率来求解平均长度最短的码字。这也是为什么说哈夫曼编码是最优变长编码的原因。

代码实现

// 利用小顶堆维护频率池最小的节点,npm i heap
const Heap = require("heap");

class HaNode {
  freq: number = 0;
  ch: string = "";
  left: HaNode = null;
  right: HaNode = null;
  constructor(
    freq: number,
    ch: string,
    left: HaNode = null,
    right: HaNode = null
  ) {
    this.freq = freq;
    this.ch = ch;
    this.left = left;
    this.right = right;
  }
}

export type HaffmanInfo = {
  root: HaNode;
  codes: Record<string, string>;
  codeKey: Record<string, string>;
  freqInfo: Record<string, number>;
};

export type HaffmanEncodeResult = {
    detail: Record<string, string>;
    code: string;
    freqInfo: Record<string, number>;
    haffmanInfo: HaffmanInfo
};

class HaffmanCode {
  // 由于建树时需要每次获取两个出现频次最低的节点,因此利用小顶堆实现
  heap: Heap<HaNode>;
  constructor() {
    this.heap = new Heap((a: HaNode, b: HaNode) => a.freq - b.freq);
  }
  /**
   * 统计每个字符出现的次数
   * @param str
   * @returns
   */
  statistics(str: string): Record<string, number> {
    const map: Record<string, number> = {};
    for (let c of str) {
      if (map[c] === undefined) map[c] = 0;
      map[c]++;
    }
    return map;
  }
  /**
   * 根据构建的二叉字典树构建成哈夫曼编码
   * @param root 二叉树根节点
   * @param prefix 当前节点的前缀字符串
   * @param codes 储存字符和哈夫曼编码的映射关系,用于编码
   * @param codeKey 储存哈夫曼编码与字符的映射关系,用于解码
   * @returns
   */
  __extra_code(
    root: HaNode,
    prefix: string = "",
    codes: Record<string, string>,
    codeKey: Record<string, string>
  ): void {
    if (root.ch !== "") {
      codes[root.ch] = prefix;
      codeKey[prefix] = root.ch;
      return;
    }
    this.__extra_code(root.left, prefix + "0", codes, codeKey);
    this.__extra_code(root.right, prefix + "1", codes, codeKey);
  }
  /**
   * 预处理哈夫曼编码的一些信息,如手机字符出现频次,创建小顶堆,建树,字符编码银蛇
   * @param str 
   * @returns 
   */
  __predo(str: string): HaffmanInfo {
    // 统计每个字符出现的频次
    const map = this.statistics(str);
    // 按照频次将节点插入到小顶堆中
    Object.keys(map).forEach((key) => {
      this.heap.insert(new HaNode(map[key], key));
    });
    // 每次从小顶堆弹出两个元素(频次最少)合并成一个节点
    while (this.heap.size() > 1) {
      const a: HaNode = this.heap.pop();
      const b: HaNode = this.heap.pop();
      this.heap.insert(new HaNode(a.freq + b.freq, "", a, b));
    }
    const root: HaNode = this.heap.top();
    const codes: Record<string, string> = {};
    const codeKey: Record<string, string> = {};
    this.__extra_code(root, "", codes, codeKey);
    return {
      root,
      codes,
      freqInfo: map,
      codeKey
    };
  }
  /**
   * 编码
   * @param str 
   * @returns 
   */
  encode(str: string): HaffmanEncodeResult {
    const info = this.__predo(str);
    const { codes, freqInfo } = info;
    return {
      detail: codes,
      code: str
        .split("")
        .map((char) => codes[char])
        .join(""),
      freqInfo,
      haffmanInfo: info
    };
  }
  /**
   * 解码
   * @param str 
   * @param info 包含编码信息与字符映射信息等编码相关信息,用于解码
   * @returns 
   */
  decode(str: string, info: HaffmanInfo): string {
    let pos = 0;
    let res = '';
    let buff = '';
    const {codeKey} = info;
    while(str[pos]) {
        buff += str[pos++]
        if(codeKey[buff]) {
            res+=codeKey[buff];
            buff = '';
        }
    }
    return res;
  }
}

const haffmanCode = new HaffmanCode();

const { detail, code, freqInfo, haffmanInfo } = haffmanCode.encode(
  "hello, my name is kiner tang! would you like some milk?"
);

Object.keys(detail).forEach((key) => {
  console.log(
    `字符【${key}(出现频次:${freqInfo[key]})】的哈夫曼编码为:${detail[key]}`
  );
});

console.log("完整哈夫曼编码:", code);

console.log(`解码:${haffmanCode.decode(code, haffmanInfo)}`);

// 字符【 (出现频次:10)】的哈夫曼编码为:00
// 字符【l(出现频次:5)】的哈夫曼编码为:010
// 字符【!(出现频次:1)】的哈夫曼编码为:01100
// 字符【s(出现频次:2)】的哈夫曼编码为:01101
// 字符【n(出现频次:3)】的哈夫曼编码为:0111
// 字符【o(出现频次:4)】的哈夫曼编码为:1000
// 字符【t(出现频次:1)】的哈夫曼编码为:100100
// 字符【,(出现频次:1)】的哈夫曼编码为:100101
// 字符【d(出现频次:1)】的哈夫曼编码为:100110
// 字符【?(出现频次:1)】的哈夫曼编码为:100111
// 字符【i(出现频次:4)】的哈夫曼编码为:1010
// 字符【m(出现频次:4)】的哈夫曼编码为:1011
// 字符【a(出现频次:2)】的哈夫曼编码为:11000
// 字符【g(出现频次:1)】的哈夫曼编码为:110010
// 字符【w(出现频次:1)】的哈夫曼编码为:110011
// 字符【h(出现频次:1)】的哈夫曼编码为:110100
// 字符【r(出现频次:1)】的哈夫曼编码为:110101
// 字符【u(出现频次:2)】的哈夫曼编码为:11011
// 字符【y(出现频次:2)】的哈夫曼编码为:11100
// 字符【k(出现频次:3)】的哈夫曼编码为:11101
// 字符【e(出现频次:5)】的哈夫曼编码为:1111
// 完整哈夫曼编码: 1101001111010010100010010100101111100000111110001011111100101001101001110110100111111111010100100100110000111110010011000011001110001101101010011000111001000110110001010101110111110001101100010111111001011101001011101100111
// 解码:hello, my name is kiner tang! would you like some milk?