RocketMQ 5.x pop消费详解

1,022 阅读3分钟

这里是weihubeats,觉得文章不错可以关注公众号小奏技术,文章首发。拒绝营销号,拒绝标题党

背景

当前的消费负载均衡策略是以队列的维度来进行,所有行为全部是由客户端主动来完成,主要分为三步:

  1. 每个consumer定时去获取消费的topic的队列总数,以及consumer总数

  2. 将队列按编号、consumer按ip排序,用统一的分配算法计算该consumer分配哪些消费队列

  3. 每个consumer去根据算法分配出来的队列,拉取消息消费

存在的问题:

  1. 客户端代码逻辑较重,要支持一种新语言的客户端就必须实现完整的重平衡逻辑,此外还需要实现拉消息、位点管理、消费失败后将消息发回 Broker 重试等逻辑。这给多语言客户端的支持造成很大的阻碍。
  2. 当客户端升级或者下线时,都要进行重平衡操作,可能造成消息堆积。
  3. 如果有一个队列有异常(应用自身异常,或某个broker在升级)导致消费较慢或者停止,该队列会出现堆积现象,因为队列不会被分配给其他机器,因此如果长时间不处理,队列的堆积会越来越严重
  4. 消费者无法无限扩展,当消费者数量扩大到大于队列数量时,有的消费者将无法分配到队列。

目标

新方案需要保证两点:

  1. 高可用:单一队列的消费能力不受某个消费客户端异常的影响

  2. 高性能:POP订阅对消息消费的延迟和吞吐的影响在10%以内

架构设计

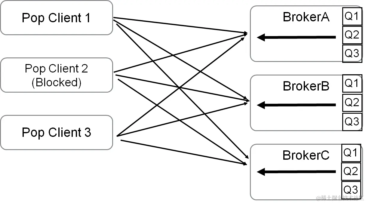
当前pull模式架构下的消费模型如下

pop的消费模型

举个简单🌰

  • topic名字: xiaozou

  • queue数量: 6(brokerA-Q1、brokerA-Q2、brokerB-Q1、brokerB-Q2、brokerC-Q1、brokerC-Q2)

  • gid: gid_xiaozou

  • 消费者数量: 3(consumer-a、consumer-b、consumer-c)

  • push消费模式

consumer-a:brokerA-Q1、brokerB-Q1、brokerC-Q1

consumer-b: brokerA-Q2、okerB-Q2、bkerC-Q2

  • pop消费模式:

consumer-a:brokerA-Q1、brokerB-Q1、brokerC-Q1、brokerA-Q2、okerB-Q2、bkerC-Q2

consumer-b:brokerA-Q1、brokerB-Q1、brokerC-Q1、brokerA-Q2、okerB-Q2、bkerC-Q2

pop特性

  • 单个客户端消费所有queue,避免单个client假死造成消息堆积

  • Rebalancebroker实现,方便多语言client实现维护

如何切换

目前提供了两种方式切换

管理后台切换

mqadmin setConsumeMode -c cluster -t topic -g group -m POP -q 8

代码切换

public class PopPushConsumer {

    public static final String CONSUMER_GROUP = "gid_pop_xiao-zou-topic";
    public static final String TOPIC = "xiao-zou-topic";

    // Or use AdminTools directly: mqadmin setConsumeMode -c cluster -t topic -g group -m POP -n 8
    private static void switchPop() throws Exception {

        DefaultMQAdminExt mqAdminExt = new DefaultMQAdminExt();
        mqAdminExt.setNamesrvAddr("http://localhost:9876");
        mqAdminExt.start();
        ClusterInfo clusterInfo = mqAdminExt.examineBrokerClusterInfo();
        Set<String> brokerAddrs = clusterInfo.getBrokerAddrTable().values().stream().map(BrokerData::selectBrokerAddr).collect(Collectors.toSet());
        for (String brokerAddr : brokerAddrs) {
            mqAdminExt.setMessageRequestMode(brokerAddr, TOPIC, CONSUMER_GROUP, MessageRequestMode.POP, 8, 3_000);
        }
    }

    public static void main(String[] args) throws Exception {
        switchPop();
        DefaultMQPushConsumer consumer = new DefaultMQPushConsumer(CONSUMER_GROUP);
        consumer.subscribe(TOPIC, "*");
        consumer.setConsumeFromWhere(ConsumeFromWhere.CONSUME_FROM_LAST_OFFSET);
        consumer.registerMessageListener((MessageListenerConcurrently) (msgs, context) -> {
            System.out.printf("%s Receive New Messages: %s %n", Thread.currentThread().getName(), msgs);
            return ConsumeConcurrentlyStatus.CONSUME_SUCCESS;
        });
        consumer.setClientRebalance(false);
        consumer.start();
        System.out.printf("Consumer Started.%n");
    }
}

总结

pop消费方式的出现主要是为了解决两个核心问题:

  1. Rebalancebroker实现,方便多语言client实现维护.更符合云原生
  2. 单个客户端消费所有queue,避免单个client假死造成消息堆积
  3. 避免出现因为queue不足导致的扩展consumer提升消费能力异常
  4. 避免消息队列数量与consumer数量比例不均衡时导致的某些consumer承担过多的消息

后续有机会再分析下pop消费时间的源码以及更多细节

参考