用C#实现最小二乘法(用OxyPlot绘图)✨

850 阅读4分钟

最小二乘法介绍✨

最小二乘法(Least Squares Method)是一种常见的数学优化技术,广泛应用于数据拟合、回归分析和参数估计等领域。其目标是通过最小化残差平方和来找到一组参数,使得模型预测值与观测值之间的差异最小化。

最小二乘法的原理✨

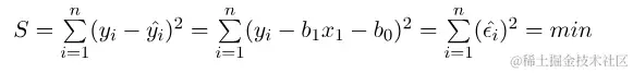
线性回归模型将因变量 (y) 与至少一个自变量 (x) 之间的关系建立为:

image-20240118105946580

在 OLS 方法中,我们必须选择一个b1和b0的值,以便将 y 的实际值和拟合值之间的差值的平方和最小化。

平方和的公式如下:

image-20240118110247858

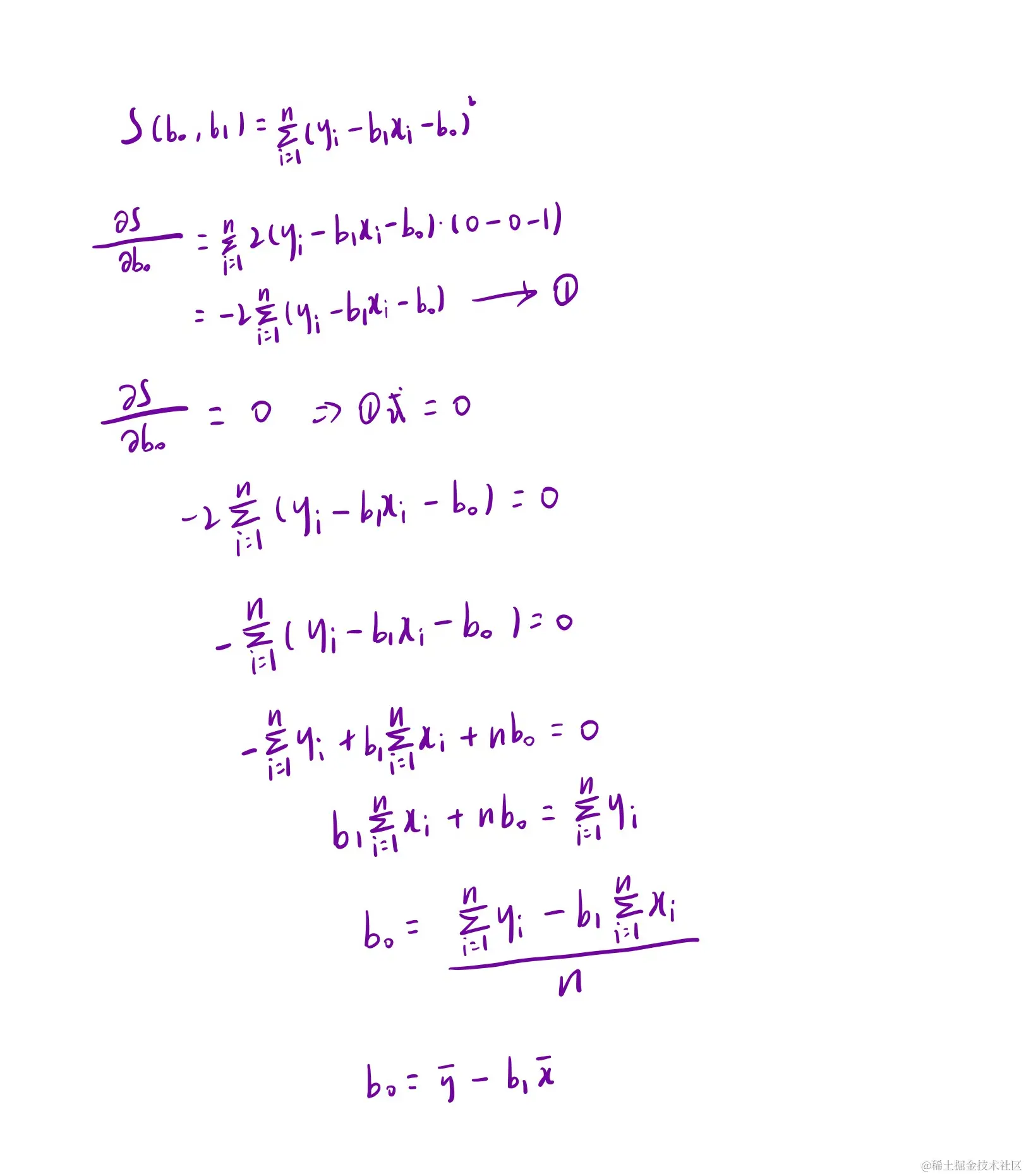
我们可以把它看成是一个关于b1和b0的函数,分别对b1和b0求偏导,然后让偏导等于0,就可以得到最小平方和对应的b1和b0的值。

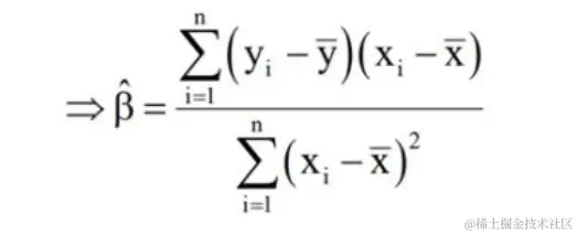
先说结果,斜率最后推导出来如下所示:

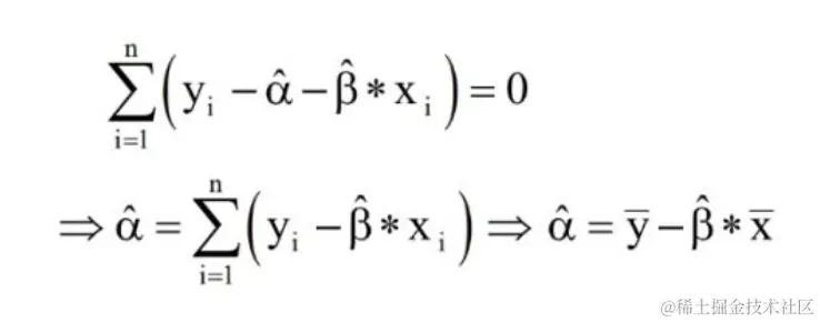
截距推导出来结果如下:

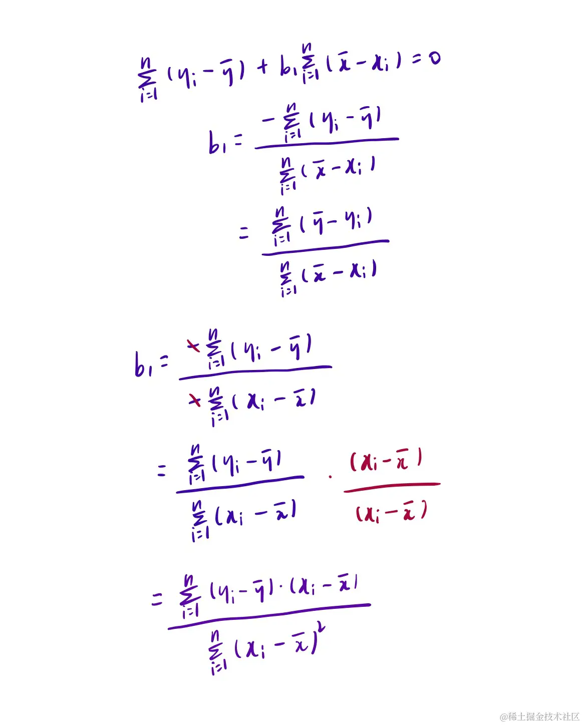
don't worry about that,慢慢推导总是可以弄明白的(不感兴趣可以直接略过):

最小二乘法推导1

最小二乘法推导2

最小二乘法推导3

用C#实现最小二乘法✨

创建数据点✨

首先创建想要拟合的数据点:

 NDArray? x, y;

x,y为全局变量。

  //使用NumSharp创建线性回归的数据集
  x = np.arange(0, 10, 0.2);
  y = 2 * x + 3 + np.random.normal(0, 3, x.size);

使用到了NumSharp,需要为项目添加NumSharp包:

image-20240120100221733

 x = np.arange(0, 10, 0.2);

的意思是x从0增加到10(不包含10),步长为0.2:

image-20240120100455351

np.random.normal(0, 3, x.size);

的意思是生成了一个均值为0,标准差为3,数量与x数组长度相同的正态分布随机数数组。这个数组被用作线性回归数据的噪声。

使用OxyPlot画散点图✨

OxyPlot是一个用于在.NET应用程序中创建数据可视化图表的开源图表库。它提供了丰富的功能和灵活性,使开发者能够轻松地在其应用程序中集成各种类型的图表,包括折线图、柱状图、饼图等。

image-20240120101110294

添加OxyPlot.WindowsForms包:

image-20240120101228438

将PlotView控件添加到窗体设计器上:

image-20240120101340414

// 初始化散点图数据
var scatterSeries = new ScatterSeries
{
    MarkerType = MarkerType.Circle,
    MarkerSize = 5,
    MarkerFill = OxyColors.Blue
};

表示标志为圆形,标志用蓝色填充,标志的大小为5。

  for (int i = 0; i < x.size; i++)
  {
      scatterSeries.Points.Add(new ScatterPoint(x[i], y[i]));
  }

添加数据点。

 PlotModel? plotModel;

将plotModel设置为全局变量。

 // 创建 PlotModel
 plotModel = new PlotModel()
 {
     Title = "散点图"
 };
 plotModel.Series.Add(scatterSeries);
​
 // 将 PlotModel 设置到 PlotView
 plotView1.Model = plotModel;

这样就成功绘制了散点图,效果如下所示:

image-20240120102920929

使用最小二乘法拟合数据点✨

double a = 0;
double c = 0;
​
double x_mean = x?.mean();
double y_mean = y?.mean();
​
//计算a和c
for(int i = 0; i < x?.size; i++) 
{
    a += (x[i] - x_mean) * (y?[i] - y_mean);
    c += (x[i] - x_mean) * (x[i] - x_mean);
}
​
//计算斜率和截距
double m = a / c;
double b = y_mean - m * x_mean;
​
//拟合的直线
var y2 = m * x + b;

套用公式就可以,a表示上面斜率公式的上面那部分,c表示上面斜率公式的下面那部分。

double x_mean = x?.mean();
double y_mean = y?.mean();

计算x与y的平均值。

使用OxyPlot画拟合出来的直线✨

 //画这条直线         
 var lineSeries = new LineSeries
 {
     Points = { new DataPoint(x?[0], y2[0]), new DataPoint(x?[-1], y2[-1]) },
     Color = OxyColors.Red
 };
​
 // 创建 PlotModel         
 plotModel?.Series.Add(lineSeries);
​
 // 为图表添加标题
 if (plotModel != null)
 {
     plotModel.Title = $"拟合的直线 y = {m:0.00}x + {b:0.00}";
 }
​
 // 刷新 PlotView
 plotView1.InvalidatePlot(true);
 Points = { new DataPoint(x?[0], y2[0]), new DataPoint(x?[-1], y2[-1]) },

画直线只要添加两个点就好了x?[0], y2[0]表示x和y的第一个点,x?[-1], y2[-1])表示x和y的最后一个点,使用了NumSharp的切片语法。

画出来的效果如下所示:

image-20240120103737259

C#实现的全部代码:

using NumSharp;
using OxyPlot.Series;
using OxyPlot;
namespace OlsRegressionDemoUsingWinform
{
    public partial class Form1 : Form
    {
        NDArray? x, y;
        PlotModel? plotModel;
        public Form1()
        {
            InitializeComponent();
        }
​
        private void button1_Click(object sender, EventArgs e)
        {
            //使用NumSharp创建线性回归的数据集
            x = np.arange(0, 10, 0.2);
            y = 2 * x + 3 + np.random.normal(0, 3, x.size);
​
            // 初始化散点图数据
            var scatterSeries = new ScatterSeries
            {
                MarkerType = MarkerType.Circle,
                MarkerSize = 5,
                MarkerFill = OxyColors.Blue
            };
​
            for (int i = 0; i < x.size; i++)
            {
                scatterSeries.Points.Add(new ScatterPoint(x[i], y[i]));
            }
​
            // 创建 PlotModel
            plotModel = new PlotModel()
            {
                Title = "散点图"
            };
            plotModel.Series.Add(scatterSeries);
​
            // 将 PlotModel 设置到 PlotView
            plotView1.Model = plotModel;
​
​
​
​
        }
​
        private void button2_Click(object sender, EventArgs e)
        {
            double a = 0;
            double c = 0;
​
            double x_mean = x?.mean();
            double y_mean = y?.mean();
​
            //计算a和c
            for(int i = 0; i < x?.size; i++) 
            {
                a += (x[i] - x_mean) * (y?[i] - y_mean);
                c += (x[i] - x_mean) * (x[i] - x_mean);
            }
​
            //计算斜率和截距
            double m = a / c;
            double b = y_mean - m * x_mean;
​
            //拟合的直线
            var y2 = m * x + b;
​
            //画这条直线         
            var lineSeries = new LineSeries
            {
                Points = { new DataPoint(x?[0], y2[0]), new DataPoint(x?[-1], y2[-1]) },
                Color = OxyColors.Red
            };
​
            // 创建 PlotModel         
            plotModel?.Series.Add(lineSeries);
​
            // 为图表添加标题
            if (plotModel != null)
            {
                plotModel.Title = $"拟合的直线 y = {m:0.00}x + {b:0.00}";
            }
           
            // 刷新 PlotView
            plotView1.InvalidatePlot(true);
​
        }
    }
}

用Python实现最小二乘法✨

import numpy as np
import matplotlib.pyplot as plt
​
# 用最小二乘法拟合 y = mx + b# 设置随机数种子以保证结果的可复现性
np.random.seed(0)
​
# 生成一个在[0, 10]区间内均匀分布的100个数作为x
x = np.linspace(0, 10, 100)
​
# 生成y,y = 2x + 噪声,其中噪声是[0, 10)之间的随机整数
y = 2 * x + 5 + np.random.randint(0, 10, size=100)
​
# 计算x和y的均值
x_mean = np.mean(x)
y_mean = np.mean(y)
​
a = 0
c = 0
​
for i in range(x.shape[0]):
   a += (x[i] - x_mean) * (y[i] - y_mean)
   c += (x[i] - x_mean) ** 2
​
# 计算斜率和截距
m = a / c
b = y_mean - m * x_mean
   
# 画这条直线
y2 = m * x + b
plt.plot(x, y2, color='red')
​
# 画数据点
plt.scatter(x, y)
plt.xlabel('x')
plt.ylabel('y')
plt.title(f'y = {m:.2f}x + {b:.2f}')
plt.show()

运行效果如下所示:

image-20240120104300224

总结✨

本文向大家介绍了最小二乘法以及公式推导的过程,并使用C#与Python进行实现。重点介绍了C#中是如何实现的,同时介绍了在C#中如何使用OxyPlot绘图。希望对你有所帮助。

参考✨

1、Understanding Ordinary Least Squares (OLS) Regression | Built In

2、Machine Learning Series-Linear Regression Ordinary Least Square Method - YouTube