leetcode 每日一题 2024年01月15日 删除排序链表中的重复元素 II

54 阅读1分钟

题目

给定一个已排序的链表的头 head删除原始链表中所有重复数字的节点,只留下不同的数字 。返回 已排序的链表

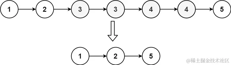
示例 1:

在这里插入图片描述

输入:head = [1,2,3,3,4,4,5]
输出:[1,2,5]

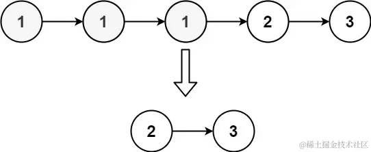
示例 2:

在这里插入图片描述

输入:head = [1,1,1,2,3]
输出:[2,3]

提示:

  • 链表中节点数目在范围 [0, 300]
  • -100 <= Node.val <= 100
  • 题目数据保证链表已经按升序 排列

分析

删除有序链表中重复的节点:cur.next=next.next

if(cur.next==next.val){
	cur.next = next.next;
    next = cur.next;
}

在这里插入图片描述

循环执行上述代码,如图这样连续的节点总有一个会被保存。所以引入pre节点。

链表删除某个节点,需要保存其前一个节点。所以新增一个冗余节点。
cur.valnext.val相等时,我们需要把和cur.val值相同的节点全部删除,直到发现val值不同位置。
在这里插入图片描述

if(cur.val==next.val){
	int x = cur.val;
	while(cur!=null&&cur.val==x){
        pre.next = cur.next;
        cur=cur.next;
	}
}

编码

  • rst相当于pre节点
  • rst.next相当于cur节点
  • rst.next.next相当于next节点。
public class Solution {
    public ListNode deleteDuplicates(ListNode head) {
        if(head==null||head.next==null) return head;
        ListNode rst = new ListNode(0,head);
        ListNode p = rst;
        while(rst.next!=null&&rst.next.next!=null){
           if(rst.next.val== rst.next.next.val){
               int x = rst.next.val;
               while (rst.next!=null&&rst.next.val==x){
                    rst.next = rst.next.next;
               }
           }else{
               rst = rst.next;
           }
        }
        return p.next;
    }
}

复杂度

时间复杂度:O(n),遍历一次即可完成。

空间复杂度:O(1)常数级别的额外的计算存储空间。

交流

qq群:
在这里插入图片描述