基于springboot的场地预约小程序的设计与实现(程序+数据库+文档)

150 阅读7分钟

🍅点赞+收藏+关注 → 私信领取本源代码、数据库🍅

本人在Java毕业设计领域有多年的经验,陆续会更新更多优质的Java实战项目,希望你能有所收获,少走一些弯路。🍅关注我不迷路🍅

一、研究背景

1.1课题背景与现状

人们生活水平的提高带来的是工作的繁忙,现代生活中每个人对时间的概念都非常强。特别对一些办公人员而言,每天的时间都在办公室里,造成体育锻炼的机会非常少。现如今,各种体育场地需求量扩大,想要预约场地的人逐年增加。场地预约系统做为预约简单、场地种类齐全成为人们预约场地的首选。然而现如今没有专业的商家对买家的预约平台,只能通过第三方平台进行场地的预约。管理人员还是采用传统的管理方式进行管理,效率非常低,需要大量的工作人员,造成经济的负担。

1.2研究目标与研究意义

传统的场地信息的发布方式局限性非常强,只能通过海报、广告单页进行传递,造成需要场地的人们得不到及时的消息。而且管理人员在管理场地相关消息时需要多种专业人员,人员成本高。管理人员在处理信息时大多还是采用半自动的模式进行管理,不能跟上时代的发展,适应不了时代的要求。随着时代的进步,科技越来越先进,就要求开发更利于用户的平台来实现场地信息的销售管理。把多种场地相关的信息集中到一个平台上,用户可以有专业的平台来进行相关信息的了解和预约将会适应新时代的发展。

科技的发展,使人们的要求越来越高,不仅要求可以信息浏览展示,更要求可以加入进来与其它用户形成交流。而本系统可以满足用户的需求,在本系统中加入了场地评价的功能,用户可以分享自己的使用感受。管理员可以审核预约信息和申请取消信息和进行押金的退回等。本系统将多种分类的信息集合到一起,减少用户多个平台寻找的时间,更提供了质量保证,对管理员来说,也可以减少信息传递的时间,减少工作压力和提高管理效率,对体育馆来说增加了销售途径。本系统的实现体现了计算机的技术和网络的先进,所有信息都可以及时的发布,用户可以在第一时间了解详情。

二、技术选型

架构模式:B/S JDK版本:Java JDK1.8(推荐) 开发工具:IDEA 数据库版本: mysql5.7 数据库连接工具: navicat 主要技术:Java,springboot、vue、uniapp

三、系统架构

3.1系统设计目标

  本系统的实现可以帮助体育馆场地信息的管理。帮助管理员对注册用户管理以及用户预约管理。同时可以帮助用户进行场地预约。本系统可以实现用户足不出户预约到需要的场地,为用户提供场地信息了解的平台。

3.2系统功能结构图

本系统的结构包括管理员和用户,根据系统功能分析中的功能进行系统功能结构图的设计。在首页中主要为用户操作的功能,在后台中为管理员身份的操作功能。管理员的功能为管理首页信息和用户的操作信息。本系统中管理员的功能结构图如下图3.1所示:

1.PNG

图3.1系统管理员的功能结构图

本系统用户的功能结构图如下图3.2所示:

2.PNG

图3.2系统用户的功能结构图

3.3系统的数据库设计

  本系统的数据库采用Mysql软件,Mysql软件可以单独使用。数据库为系统中数据的仓库,数据库的设计包括数据库概念结构设计和数据库的逻辑结构设计。在数据库的概念结构设计中通常使用数据库ER图来设计。

3.3.1数据库概念结构设计

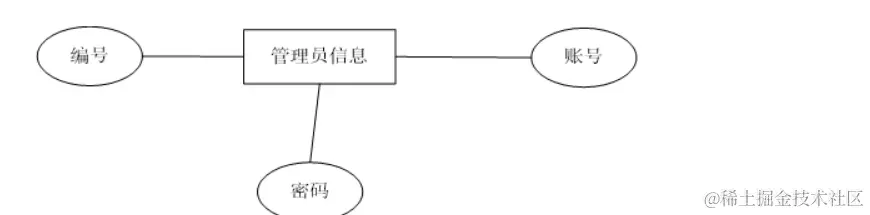
本系统中的主要实体为管理员信息、用户信息、预约信息、场地信息和场地公告信息等,其中管理员信息ER图如下图3.3所示:

3.PNG

图3.3管理员ER图

(1)注册用户信息的ER图如下图3.4所示:

4.PNG

图3.4注册用户ER图

(2)预约信息的ER图如下图3.5所示:

5.PNG

图3.5预约信息ER图

(3)类别信息ER图如下图3.6所示:

6.PNG

图3.6场地类别信息ER图

四、系统实现

4.1 管理员权限的功能模块实现界面

4.1.1系统登录功能模块的界面实现

  当系统调试运行好后,可以先使用系统登录功能,本功能相当于系统的屏障。在本界面里可以看到系统的标题和用户名、密码的文本框。在登录界面里还加入了登录按钮。系统登录界面的实现界面如下图4.1所示:

7.PNG

图4.1管理员登录功能的运行实现效果

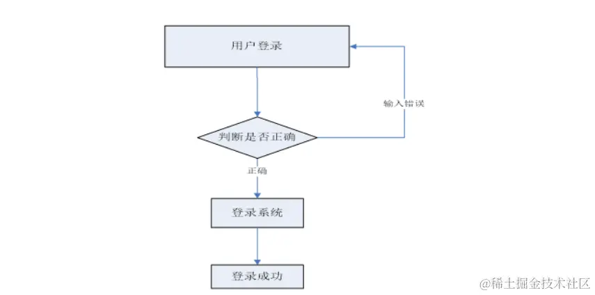
管理员登录时会进行输入信息的验证,验证的流程如下图4.2所示:

8.PNG

图4.2管理员登录流程图

4.1.2个人中心管理功能的实现界面

本功能可以实现管理员信息、登录密码的修改,修改密码时需要原密码的输入。密码信息管理功能的实现效果如下图4.3所示;

9.PNG

图4.3密码信息管理功能的运行效果界面

4.1.3场地公告管理功能的实现界面

  系统首页里有很多的场地公告信息,管理员可以在后台进行添加。在添加场地公告信息时,可以输入不同的标题。场地公告添加成功后可以删除。管理员查询场地公告信息的实现界面如下图4.4所示:

10.PNG

图4.4管理员查询场地资讯信息的实现界面

4.1.4场地类型管理功能的实现界面

场地类型信息为本系统的基本信息,管理员可以根据情况添加和删除、修改场地类型信息,在添加场地类型信息时需要填写标题。如果场地类型信息不再使用时可以删除场地类型。管理员查询场地类型信息的实现界面如下图4.5所示:

11.PNG

图4.5管理员查询场地类型信息的运行效果界面

4.1.5预约管理功能的实现界面

管理员可以对用户的预约进行审核和管理,可以看到预约时间和用户的联系信息,管理员预约管理功能的实现界面如下图4.6所示:

12.PNG

图4.6管理员管理预约信息的实现界面

4.1.6用户信息管理功能的实现界面

  管理员可以对注册用户的信息进行审核,也可以删除不需要的用户信息。在用户信息管理功能里可以看到用户的联系信息。管理员浏览用户信息的实现界面如下图4.7所示:

13.PNG

图4.7管理员浏览用户信息的实现效果界面

五、文档目录

14.PNG

**** 📝分享的所有Java项目源码均包含(前端+后台+数据库),可做毕业设计或课程设计,欢迎留言分享问题,交流经验**** 🍅更多优质项目👇🏻👇🏻可点击个人信息获取🍅文章底部或评论区获取🍅

🍅关注我毕业设计不迷路🍅

————————————————