用C#实现简单的线性回归

280 阅读6分钟

前言

最近注意到了NumSharp,想学习一下,最好的学习方式就是去实践,因此从github上找了一个用python实现的简单线性回归代码,然后基于NumSharp用C#进行了改写。

NumSharp简介

NumSharp(NumPy for C#)是一个在C#中实现的多维数组操作库,它的设计受到了Python中的NumPy库的启发。NumSharp提供了类似于NumPy的数组对象,以及对这些数组进行操作的丰富功能。它是一个开源项目,旨在为C#开发者提供在科学计算、数据分析和机器学习等领域进行高效数组处理的工具。

image-20240111192453320

python代码

用到的python代码来源:llSourcell/linear_regression_live: This is the code for the "How to Do Linear Regression the Right Way" live session by Siraj Raval on Youtube (github.com)

image-20240111192805545

下载到本地之后,如下图所示:

image-20240111193007829

python代码如下所示:

#The optimal values of m and b can be actually calculated with way less effort than doing a linear regression. 
#this is just to demonstrate gradient descent
​
from numpy import *
​
# y = mx + b
# m is slope, b is y-intercept
def compute_error_for_line_given_points(b, m, points):
    totalError = 0
    for i in range(0, len(points)):
        x = points[i, 0]
        y = points[i, 1]
        totalError += (y - (m * x + b)) ** 2
    return totalError / float(len(points))
​
def step_gradient(b_current, m_current, points, learningRate):
    b_gradient = 0
    m_gradient = 0
    N = float(len(points))
    for i in range(0, len(points)):
        x = points[i, 0]
        y = points[i, 1]
        b_gradient += -(2/N) * (y - ((m_current * x) + b_current))
        m_gradient += -(2/N) * x * (y - ((m_current * x) + b_current))
    new_b = b_current - (learningRate * b_gradient)
    new_m = m_current - (learningRate * m_gradient)
    return [new_b, new_m]
​
def gradient_descent_runner(points, starting_b, starting_m, learning_rate, num_iterations):
    b = starting_b
    m = starting_m
    for i in range(num_iterations):
        b, m = step_gradient(b, m, array(points), learning_rate)
    return [b, m]
​
def run():
    points = genfromtxt("data.csv", delimiter=",")
    learning_rate = 0.0001
    initial_b = 0 # initial y-intercept guess
    initial_m = 0 # initial slope guess
    num_iterations = 1000
    print ("Starting gradient descent at b = {0}, m = {1}, error = {2}".format(initial_b, initial_m, compute_error_for_line_given_points(initial_b, initial_m, points)))
    print ("Running...")
    [b, m] = gradient_descent_runner(points, initial_b, initial_m, learning_rate, num_iterations)
    print ("After {0} iterations b = {1}, m = {2}, error = {3}".format(num_iterations, b, m, compute_error_for_line_given_points(b, m, points)))
​
if __name__ == '__main__':
    run()

用C#进行改写

首先创建一个C#控制台应用,添加NumSharp包:

image-20240111193711408

现在我们开始一步步用C#进行改写。

python代码:

points = genfromtxt("data.csv", delimiter=",")

在NumSharp中没有genfromtxt方法需要自己写一个。

C#代码:

 //创建double类型的列表
 List<double> Array = new List<double>();
​
 // 指定CSV文件的路径
 string filePath = "你的data.csv路径";
​
 // 调用ReadCsv方法读取CSV文件数据
 Array = ReadCsv(filePath);
​
 var array = np.array(Array).reshape(100,2);
​
static List<double> ReadCsv(string filePath)
{
    List<double> array = new List<double>();
    try
    {
        // 使用File.ReadAllLines读取CSV文件的所有行
        string[] lines = File.ReadAllLines(filePath);             
​
        // 遍历每一行数据
        foreach (string line in lines)
        {
            // 使用逗号分隔符拆分每一行的数据
            string[] values = line.Split(',');
​
            // 打印每一行的数据
            foreach (string value in values)
            {
                array.Add(Convert.ToDouble(value));
            }                  
        }
    }
    catch (Exception ex)
    {
        Console.WriteLine("发生错误: " + ex.Message);
    }
    return array;
}

python代码:

def compute_error_for_line_given_points(b, m, points):
    totalError = 0
    for i in range(0, len(points)):
        x = points[i, 0]
        y = points[i, 1]
        totalError += (y - (m * x + b)) ** 2
    return totalError / float(len(points))

这是在计算均方误差:

image-20240111194422538

C#代码:

 public static double compute_error_for_line_given_points(double b,double m,NDArray array)
 {
     double totalError = 0;
     for(int i = 0;i < array.shape[0];i++)
     {
         double x = array[i, 0];
         double y = array[i, 1];
         totalError += Math.Pow((y - (m*x+b)),2);
     }
     return totalError / array.shape[0];
 }

python代码:

def gradient_descent_runner(points, starting_b, starting_m, learning_rate, num_iterations):
    b = starting_b
    m = starting_m
    for i in range(num_iterations):
        b, m = step_gradient(b, m, array(points), learning_rate)
    return [b, m]
def step_gradient(b_current, m_current, points, learningRate):
    b_gradient = 0
    m_gradient = 0
    N = float(len(points))
    for i in range(0, len(points)):
        x = points[i, 0]
        y = points[i, 1]
        b_gradient += -(2/N) * (y - ((m_current * x) + b_current))
        m_gradient += -(2/N) * x * (y - ((m_current * x) + b_current))
    new_b = b_current - (learningRate * b_gradient)
    new_m = m_current - (learningRate * m_gradient)
    return [new_b, new_m]

这是在用梯度下降来迭代更新y = mx + b中参数b、m的值。

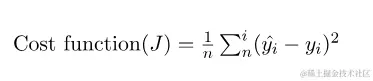
因为在本例中,误差的大小是通过均方差来体现的,所以均方差就是成本函数(cost function)或者叫损失函数(loss function),我们想要找到一组b、m的值,让误差最小。

成本函数如下:

image-20240111200019806

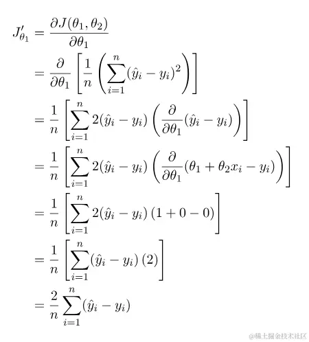
对θ1求偏导,θ1就相当于y = mx + b中的b:

image-20240111200224676

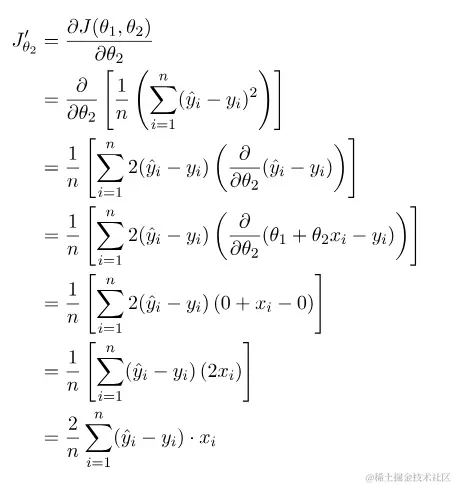
再对θ2求偏导,θ2就相当于y = mx + b中的m:

image-20240111200403338

使用梯度下降:

image-20240111200728327

θ1与θ2的表示:

image-20240111200839991

α是学习率,首先θ1、θ2先随机设一个值,刚开始梯度变化很大,后面慢慢趋于0,当梯度等于0时,θ1与θ2的值就不会改变了,或者达到我们设置的迭代次数了,就不再继续迭代了。关于原理这方面的解释,可以查看这个链接(Linear Regression in Machine learning - GeeksforGeeks),本文中使用的图片也来自这里。

总之上面的python代码在用梯度下降迭代来找最合适的参数,现在用C#进行改写:

 public static double[] gradient_descent_runner(NDArray array, double starting_b, double starting_m, double learningRate,double num_iterations)
 {
     double[] args = new double[2];
     args[0] = starting_b;
     args[1] = starting_m;
​
     for(int i = 0 ; i < num_iterations; i++) 
     {
         args = step_gradient(args[0], args[1], array, learningRate);
     }
​
     return args;
 }
 public static double[] step_gradient(double b_current,double m_current,NDArray array,double learningRate)
 {
     double[] args = new double[2];
     double b_gradient = 0;
     double m_gradient = 0;
     double N = array.shape[0];
​
     for (int i = 0; i < array.shape[0]; i++)
     {
         double x = array[i, 0];
         double y = array[i, 1];
         b_gradient += -(2 / N) * (y - ((m_current * x) + b_current));
         m_gradient += -(2 / N) * x * (y - ((m_current * x) + b_current));
     }
​
     double new_b = b_current - (learningRate * b_gradient);
     double new_m = m_current - (learningRate * m_gradient);
     args[0] = new_b;
     args[1] = new_m;
​
     return args;
 }

用C#改写的全部代码:

using NumSharp;
​
namespace LinearRegressionDemo
{
    internal class Program
    {    
        static void Main(string[] args)
        {   
            //创建double类型的列表
            List<double> Array = new List<double>();
​
            // 指定CSV文件的路径
            string filePath = "你的data.csv路径";
​
            // 调用ReadCsv方法读取CSV文件数据
            Array = ReadCsv(filePath);
​
            var array = np.array(Array).reshape(100,2);
​
            double learning_rate = 0.0001;
            double initial_b = 0;
            double initial_m = 0;
            double num_iterations = 1000;
​
            Console.WriteLine($"Starting gradient descent at b = {initial_b}, m = {initial_m}, error = {compute_error_for_line_given_points(initial_b, initial_m, array)}");
            Console.WriteLine("Running...");
            double[] Args =gradient_descent_runner(array, initial_b, initial_m, learning_rate, num_iterations);
            Console.WriteLine($"After {num_iterations} iterations b = {Args[0]}, m = {Args[1]}, error = {compute_error_for_line_given_points(Args[0], Args[1], array)}");
            Console.ReadLine();
​
        }
​
        static List<double> ReadCsv(string filePath)
        {
            List<double> array = new List<double>();
            try
            {
                // 使用File.ReadAllLines读取CSV文件的所有行
                string[] lines = File.ReadAllLines(filePath);             
​
                // 遍历每一行数据
                foreach (string line in lines)
                {
                    // 使用逗号分隔符拆分每一行的数据
                    string[] values = line.Split(',');
​
                    // 打印每一行的数据
                    foreach (string value in values)
                    {
                        array.Add(Convert.ToDouble(value));
                    }                  
                }
            }
            catch (Exception ex)
            {
                Console.WriteLine("发生错误: " + ex.Message);
            }
            return array;
        }
​
        public static double compute_error_for_line_given_points(double b,double m,NDArray array)
        {
            double totalError = 0;
            for(int i = 0;i < array.shape[0];i++)
            {
                double x = array[i, 0];
                double y = array[i, 1];
                totalError += Math.Pow((y - (m*x+b)),2);
            }
            return totalError / array.shape[0];
        }
​
        public static double[] step_gradient(double b_current,double m_current,NDArray array,double learningRate)
        {
            double[] args = new double[2];
            double b_gradient = 0;
            double m_gradient = 0;
            double N = array.shape[0];
​
            for (int i = 0; i < array.shape[0]; i++)
            {
                double x = array[i, 0];
                double y = array[i, 1];
                b_gradient += -(2 / N) * (y - ((m_current * x) + b_current));
                m_gradient += -(2 / N) * x * (y - ((m_current * x) + b_current));
            }
​
            double new_b = b_current - (learningRate * b_gradient);
            double new_m = m_current - (learningRate * m_gradient);
            args[0] = new_b;
            args[1] = new_m;
​
            return args;
        }
​
        public static double[] gradient_descent_runner(NDArray array, double starting_b, double starting_m, double learningRate,double num_iterations)
        {
            double[] args = new double[2];
            args[0] = starting_b;
            args[1] = starting_m;
​
            for(int i = 0 ; i < num_iterations; i++) 
            {
                args = step_gradient(args[0], args[1], array, learningRate);
            }
​
            return args;
        }
​
​
    }
}

python代码的运行结果:

image-20240111201856163

C#代码的运行结果:

image-20240111202002755

结果相同,说明改写成功。

总结

本文基于NumSharp用C#改写了一个用python实现的简单线性回归,通过这次实践,可以加深对线性回归原理的理解,也可以练习使用NumSharp。