基于DF模式的协作通信技术matlab性能仿真

77 阅读3分钟

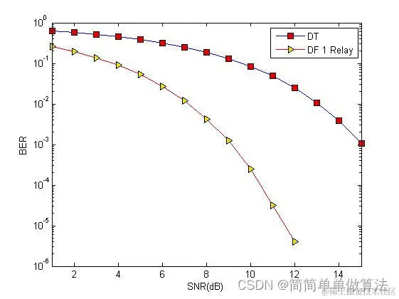
1.算法运行效果图预览

1.jpeg

2.jpeg

3.jpeg

2.算法运行软件版本

matlab2013b

 

3.算法理论概述

       基于DF(Decode-and-Forward)模式的协作通信技术是一种利用多个节点协作传输信息来提高通信系统性能的技术。在这种技术中,多个节点通过协作传输和接收信号,以提高信号的可靠性和覆盖范围。以下是基于DF模式的协作通信技术的原理和数学公式的详细介绍。

 

3.1、DF概述

       基于DF模式的协作通信技术利用了分布式天线系统的思想,通过多个节点协作传输和接收信号,实现了空间分集和信号增强的效果。具体而言,当一个节点发送信号时,其附近的节点会接收到这个信号,并对其进行解码和转发,以帮助源节点将信号传输到目的节点。这样,通过多个节点的协作,可以有效地提高信号的可靠性和覆盖范围。

 

3.2、DF基本原理

基于DF模式的协作通信技术的数学模型可以表示为:

 

y = h1x1 + h2x2 + ... + hnxn + n

 

      其中,y表示目的节点接收到的信号,h1, h2, ..., hn表示各个协作节点到目的节点的信道系数,x1, x2, ..., xn表示各个协作节点发送的信号,n表示目的节点接收到的噪声。

 

       在这个模型中,每个协作节点都会对接收到的信号进行解码和转发。因此,目的节点接收到的信号是多个协作节点发送的信号的叠加。通过选择合适的协作策略和调制方式,可以最大化信号的信噪比和误码率性能。

 

       基于DF模式的协作通信技术适用于多种应用场景,包括无线通信、物联网、智能家居等。在这些场景中,通过多个节点的协作传输和接收信号,可以有效地提高通信系统的性能和可靠性,满足各种应用需求。

 

      总之,基于DF模式的协作通信技术是一种有效的提高通信系统性能的技术,通过多个节点的协作传输和接收信号,可以实现空间分集和信号增强的效果,提高信号的可靠性和覆盖范围。

 

 

 

 

4.部分核心程序 `clc;

clear;

close all;

warning off;

addpath(genpath(pwd));

rng('default')

Snr_1        = 1;  

Snr_2        = 15;

%信号功率

Power_signal = 0.2;

Monte_Times  = 100;  

M            = 4;  %QPSK调制

N            = 1e4;%仿真bit数

%产生信号源

Signal       = randint(1,N,M);

Signal_mod   = modulate(modem.pskmod(M),Signal);

 

%产生信道

%Source and Destination

H_sd         = func_Rayleigh_Channel(1,1);   

%节点1信道

H_sr1        = func_Rayleigh_Channel(1,7); 

H_rd1        = func_Rayleigh_Channel(1,7); 

 

Index        = 0;   

for SNR_dB=Snr_1:Snr_2

    SNR_dB 

       Index = Index+1;  

        ERR   = 0;

    for Times = 0:Monte_Times

        rng(Times)

        sig           = 10^(SNR_dB/10);

        Power_Signals = Power_signal;  

        Power_Niose   = Power_Signals / sig; 

        %直接模式下不通过中继节点直接进行传输

        Y_S2D  = awgn(sqrt(Power_signal)H_sdSignal_mod,SNR_dB);        

        Y_S2R1 = awgn(sqrt(Power_signal)H_sr1Signal_mod,SNR_dB);        

        Y_S2R  = [Y_S2R1];

        H_sr   = [H_sr1];

        H_rd   = [H_rd1];

        %选瞬时信噪比最大的座位转发中继

        R1     = SNR_dB*(abs(H_sr1))^2;

        R      = [R1];

        [V,I]  = max(R);

        Y_S2RO = Y_S2R(I,:);

        H_rdO  = H_rd(I);

        H_srO  = H_sr(I);

        %DF

        x_ODF         = func_DF(M,Y_S2RO,Signal);

        y_rd          = awgn(H_rdO * x_ODF, SNR_dB);

       

        y_combine_ODF = func_MRC(H_sd,H_rdO,Power_Signals,Power_Niose,Y_S2D,y_rd);

        y_ODF         = demodulate(modem.pskdemod(M),y_combine_ODF);

       

        %计算中断概论

        ERR    = ERR + func_ber(Signal,y_ODF); 

    end

        BERS(Index)      = ERR/(N*Monte_Times);       

end

 

SNR_dB = Snr_1:1:Snr_2;

figure;

semilogy(SNR_dB,BERS,'r-o');

grid on;

ylabel('BER');

xlabel('SNR(dB)');

axis([Snr_1,Snr_2,10^(-6),1]);

save DF1.mat SNR_dB BERS`