【计组】阵列乘法

284 阅读1分钟

1.不带符号的阵列乘法器

image.png

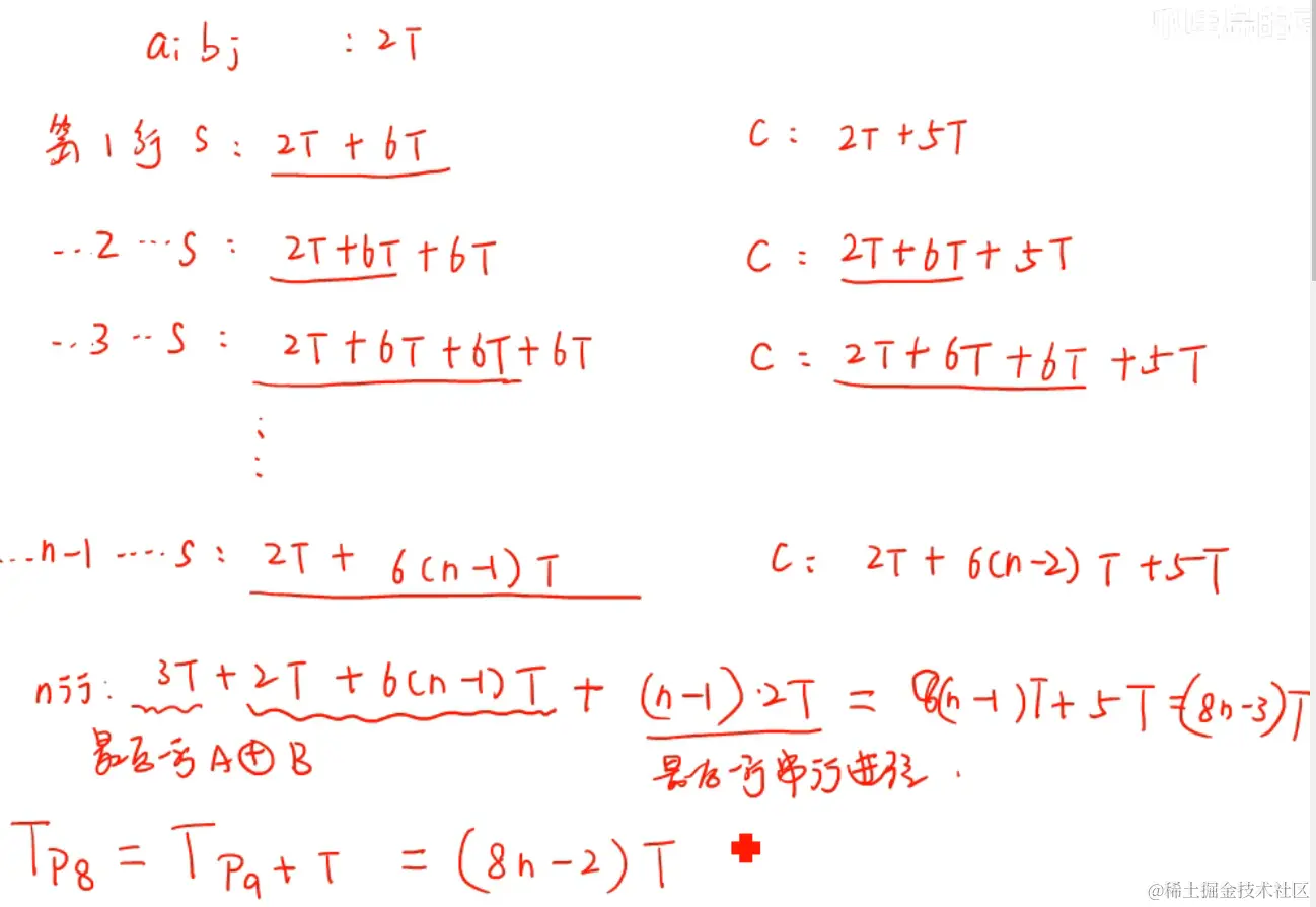
逻辑门时间

与门:2T

image.png

image.png

image.png

2.带符号的阵列乘法器

image.png B的原码=bn|B|

bn是符号位,|B|是数值位

image.png

由B的补码获得B的绝对值 方法一:使用行波进位加法器

对B求原码,符号位是0时,正数,数值位就是绝对值。 符号位是1时,负数1,数值位取反加1,

image.png 方法二:对二求补器 E = 0,正数,不用求补

image.png E = 1,负数,求补

image.png

image.png