编程导航算法通关村第四关 | 手写栈

90 阅读2分钟

栈基础知识

栈的特征

栈和队列是比较特殊的线性表,又称之为访问受限的线性表。栈是很多表达式、符号等运算的基础,也是递归的底层实现。理论上递归能做的题目栈都可以,只是有些问题用栈会非常复杂。

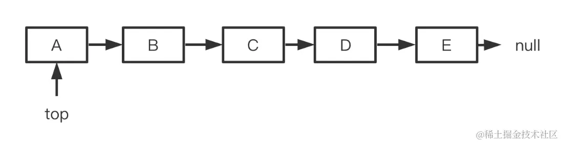
栈底层实现仍然是链表或者顺序表,栈与线性表的最大区别是数据的存取的操作被限制了,其插入和删除操作只允许在线性表的一端进行。一般而言,把允许操作的一端称为栈顶(Top),不可操作的一端称为栈底(Bottom),同时把插入元素的操作称为入栈(Push),删除元素的操作称为出栈(Pop)。若栈中没有任何元素,则称为空栈,栈的结构如下图:

栈的操作

栈的常用操作主要有:

  • push(E):增加一个元素E
  • pop():弹出元素E
  • peek():显示栈顶元素,但是不出栈
  • empty():判断栈是否为空

基于数组实现栈

再看具体内容之前,先补充一点,top有的地方指向栈顶元素,有的地方指向栈顶再往上的一个空单位,这个根据题目要求设计就好,如果是面试的时候就直接问面试官,top指向到哪里,本文采用指向栈顶空位置。

如果要自己实现栈,可以有数组、链表和java提供的LinkedList三种基本方式,我们都看一下。

采用顺序表实现的的栈,内部以数组为基础,实现对元素的存取操作。在应用中还要注意每次入栈之前先判断栈的容量是否够用,如果不够用,可以进行扩容。

入栈过程如下所示:

出栈的过程如图所示:

top先将栈顶元素取出,然后再执行top--

下面是完整代码:

public class MyStack<T> {
    private Object[] stack;

    private int top;

    MyStack() {
        // 初始容量为 10
        stack = new Object[10];
    }

    // 判断是否为空
    public boolean isEmpty() {
        return top == 0;
    }

    // 返回栈顶元素
    public T peek() {
        T t = null;
        if (top > 0) {
            t = (T) stack[top - 1];
        }
        return t;
    }

    // 出栈
    public T pop() {
        T t = peek();
        if (top > 1) {
            stack[top - 1] = null;
            top--;
        }
        return t;
    }

    // 扩大容量
    public void expandCapacity(int size) {
        int len = stack.length;
        if (size > len) {
            // 每次扩大 50%
            size = size * 3 / 2 + 1;
            stack = Arrays.copyOf(stack, size);
        }
    }
}

基于链表实现栈

链表也可以实现栈,插入和删除都在头结点进行就可以了

代码如下

public class ListStack<T> {
    //定义链表
    class Node<T> {
        public T t;
        public Node next;
    }
    public Node<T> head;
    //构造函数初始化头指针
    ListStack() {
        head = null;
    }
    //入栈
    public void push(T t) {
        if (t == null) {
            throw new NullPointerException("参数不能为空");
        }
        if (head == null) {
            head = new Node<T>();
            head.t = t;
            head.next = null;
        } else {
            Node<T> temp = head;
            head = new Node<>();
            head.t = t;
            head.next = temp;
        }
    }
    //出栈
    public T pop() {
        if (head == null) {
            return null;
        }
        T t = head.t;
        head = head.next;
        return t;
    }

    //取栈顶元素
    public T peek() {
        if (head == null) {
            return null;
        }
        T t = head.t;
        return t;
    }

    //栈空
    public boolean isEmpty() {
        if (head == null)
            return true;
        else
            return false;
    }
}