轻量级流程编排组件

959 阅读7分钟

本文首发自 微盟技术中心 微信公众平台~

一、项目简介

1.1 项目背景由于商城的交易流程相对比较复杂,不同业务线针对同一场景的处理流程存在差异,通过硬编码的方式很难实现良好的扩展性和快速试错能力。因此,需要一套流程编排引擎来处理相应的编排需求。目前的编排框架大多不够轻量,比如 Apache Camel。Apache Camel 对编排对象(如方法、类、消息、服务)进行了高度抽象,只要按照规范接入即可。然而,庞大的生态系统包含了大量的组件和插件,导致依赖库和代码规模非常庞大,对内存和 CPU 资源的消耗较高。 而实际上,我们只需要类的编排即可。我们可以按需开发,不需要的功能无需开发,保持轻量级。开源解决方案可能无法很好地支持个性化需求,而自行开发则更容易进行定制修改。

1.2 项目目标

基于以上的需求背景,我们设计了轻量级业务流程编排组件,可以使业务实现更清晰、更灵活。该组件是基于 spring bean 实现的轻量级业务流程编排的;该组件可在复杂场景下,对业务逻辑的组件化抽象,流程化编排,进而实现业务需求,使业务场景清晰化;该组件可提高代码复用率和系统的可维护性、扩展性;      该组件主要由流程和节点两个部分组成:       1、流程:支持本地、远程两种方式定义;通过模板工厂设计模式,统一执行过程;支持串行、并行执行;支持多维度的流程匹配;具备流程变量、灰度等能力;      2、节点:暴露业务处理、执行拦截、前置、后置、回滚等扩展hook,如通过回滚hook,业务可以实现分布式事务一致性;支持节点自定义配置,如应用通过配置策略化的执行业务逻辑,提高系统的扩展性;       目前该组件已在商城交易、商城商家、批价中台等多个应用中使用,承载了70+的业务流程;支持了店铺初始化;线上交易、线下交易、积分商城等10+个商城交易场景;商城、值客推、CRM等产品的商品详情、购物车、结算各场景的优惠计算。节点执行流程图:图片轻量级流程编排具有以下特点:1、组件定义统一:为所有的逻辑提供统一化的组件实现,使其高内聚,低耦合。2、轻量:按需开发,依赖轻量。3、规则匹配灵活:使用关键词和规则引擎匹配相结合方式,达到更好的流程匹配效果。4、任意编排:支持灵活编排和中断,具备分支、并行、异步等能力,支持轻量级的分布式事务控操作。5、优雅热刷新机制:规则变化,无需重启您的应用,即时改变应用的规则。6、安全机制:接入流程审批功能、灰度同步功能,严格控制发布流程和数据一致性。

二、系统设计

2.1 系统架构图图片流程如下: 1、项目启动时, Client 扫描实现了Component接口的所有类。2、 Client 将扫描到的类上报到 Server 端。3、 Client 从 Server 中拉取当前服务的流程配置信息。4、 Client 将拉取到的配置信息写入到本地缓存中。5、 请求流量进入业务应用,业务应用通过 Client 查询到具体的流程。6、 Client 从本地缓存中匹配到具体的流程配置信息。7、 Client 根据配置信息执行流程。

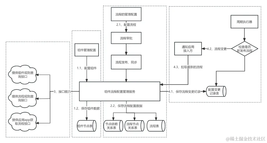
2.2 服务端设计

图片服务端设计主要包含组件管理、流程的配置与发布、流程接口能力、流程的热更新。
1、组件管理:主要将业务配置的组件进行保存。2、流程的配置与发布管理:主要是对流程涉及到的组件进行编排,保存流程数据到数据库。3、流程接口能力:提供组件和流程数据查询功能。4、流程的热更新:通过周期执行器对流程变更配置表的监控,发现流程变更,通知客户端拉取最新的流程更新到本地缓存。

2.3 客户端设计

图片客户端设计通过流程配置总线管理所有节点,包含组件扫描、组件上报、流程拉取、流程执行。1、组件扫描器:主要在项目启动时扫描实现了 Component 接口的所有计算元组件,然后将类信息发送到流程配置总线中。2、上报控制器:接管组件扫描器扫描到的计算元组件,将所有类信息打包发送给 Server。3、拉取控制器:从 Server 中拉取配置在当前应用上的所有流程,并维护到本地缓存中。4、流程匹配器:通过自定义的规则和条件,匹配出当前要执行的具体流程。5、流程执行器:根据流程每个节点的执行方式(如并行串行回滚)执行节点。6、可在每个节点执行前后织入自定义执行切面。

2.4 多环境发布设计

我们的应用发布通常要经过测试、灰度和发布基准等过程,而流程资源的发布也需要类似的步骤,以确保变更的业务安全性。此处与开发者平台存在关联,环境标识对应的是开发者平台中多环境的标识,通过设置与灰度环境相同的环境标识,就可以在对应的灰度 POD 上来验证我们的规则。这里使用了基础架构提供的调用链上下文,来获取当前 POD 所在的环境标识。资源匹配的时候,优先获取到当前 POD 所在的环境标资源,来达到资源灰度的目的。在灰度完成验证的规则,即可继续完成资源发布上线。1、多环境灰度标:图片2、灰度流程状态设计:图片客户端拉取流程只能是灰度、发布状态流程。灰度流程的匹配:优先匹配灰度流程,通过策略条件判断是否存在当前灰度流程,存在返回灰度流程。未命中灰度,匹配已发布的流程。

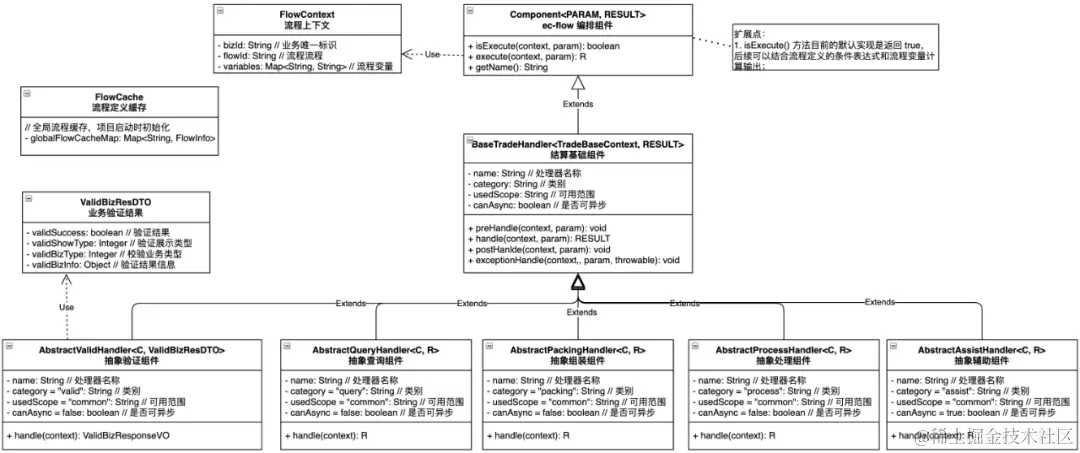
2.5 模型设计

图片

三、业务实践

应用场景:批价引擎、下单流程、商家初始化店铺等拥有复杂逻辑的业务已接入使用。效果:对业务的多元化、价格计算的多样化提供出色的服务能力,实现业务逻辑自动化处理。比如,批价引擎的通用计算顺序为:限时折扣->会员->满减->优惠券->积分->余额。然而,某些商户可能希望进行定制开发,主要关注券、积分和会员折扣。对于这种情况,流程如下:积分->会员->优惠券->限时折扣->满减->余额。针对这种变动,无需进行开发,只需要在可视化界面上重新配置流程,并增加流程匹配的规则和条件即可。1、流程列表:图片2、流程编辑:
图片3、业务流程组件实践模型:我们可以在流程编排的基础上进行业务扩展,对组件进行归纳明确划分,使其更灵活。图片

四、未来规划

从业务实际使用反馈来看,在后续版本中我们会在几方面迭代优化。1、可视化配置页面:丰富其他场景的可视化拖拽界面,使其更方便灵活。
2、丰富节点执行方式:包括但不限于通过HTTP、Dubbo、脚本以及本地类形式实现的执行节点。3、强化观测能力:支持多种方式的观测数据上报,以便应用可以根据现状选择合适的策略。4、启动开源计划:建立开源生态,共同维护,进一步丰富场景和能力。本文主要从业务场景、设计方案、实现细节、以及业务实践这几方面介绍了流程编排。其中有些地方还可以有进一步的提升,欢迎感兴趣的同学一起交流。