【宽度优先搜索 BFS】day55_617. 合并二叉树

46 阅读1分钟

给你两棵二叉树: root1 和 root2 。

想象一下,当你将其中一棵覆盖到另一棵之上时,两棵树上的一些节点将会重叠(而另一些不会)。你需要将这两棵树合并成一棵新二叉树。合并的规则是:如果两个节点重叠,那么将这两个节点的值相加作为合并后节点的新值;否则,不为 null 的节点将直接作为新二叉树的节点。

返回合并后的二叉树。

注意:  合并过程必须从两个树的根节点开始。

示例 1:

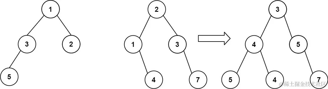
输入: root1 = [1,3,2,5], root2 = [2,1,3,null,4,null,7]
输出: [3,4,5,5,4,null,7]

示例 2:

输入: root1 = [1], root2 = [1,2]
输出: [2,2]

提示:

  • 两棵树中的节点数目在范围 [0, 2000] 内
  • -104 <= Node.val <= 104

题解:

思路:dfs

时间复杂度:O(min(m,n))

空间复杂度:O(min(m,n))

/**
 * Definition for a binary tree node.
 * public class TreeNode {
 *     int val;
 *     TreeNode left;
 *     TreeNode right;
 *     TreeNode() {}
 *     TreeNode(int val) { this.val = val; }
 *     TreeNode(int val, TreeNode left, TreeNode right) {
 *         this.val = val;
 *         this.left = left;
 *         this.right = right;
 *     }
 * }
 */
class Solution {
    public TreeNode mergeTrees(TreeNode root1, TreeNode root2) {
        if (root1 == null) return root2;
        if (root2 == null) return root1;
        return new TreeNode(root1.val + root2.val,
            mergeTrees(root1.left, root2.left),    // 合并左子树
            mergeTrees(root1.right, root2.right)); // 合并右子树
    }
}