刷题101 二叉树最大宽度

63 阅读1分钟

给你一棵二叉树的根节点 root ,返回树的 最大宽度 。

树的 最大宽度 是所有层中最大的 宽度 。

每一层的 宽度 被定义为该层最左和最右的非空节点(即,两个端点)之间的长度。将这个二叉树视作与满二叉树结构相同,两端点间会出现一些延伸到这一层的 null 节点,这些 null 节点也计入长度。

题目数据保证答案将会在  32 位 带符号整数范围内。

 

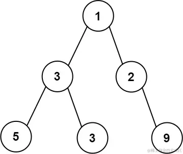
示例 1:

输入: root = [1,3,2,5,3,null,9]
输出: 4
解释: 最大宽度出现在树的第 3 层,宽度为 4 (5,3,null,9) 。

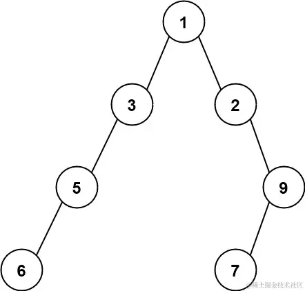
示例 2:

输入: root = [1,3,2,5,null,null,9,6,null,7]
输出: 7
解释: 最大宽度出现在树的第 4 层,宽度为 7 (6,null,null,null,null,null,7) 。

示例 3:

输入: root = [1,3,2,5]
输出: 2
解释: 最大宽度出现在树的第 2 层,宽度为 2 (3,2) 。

 

提示:

  • 树中节点的数目范围是 [1, 3000]
  • -100 <= Node.val <= 100

题解:

/**
 * Definition for a binary tree node.
 * public class TreeNode {
 *     int val;
 *     TreeNode left;
 *     TreeNode right;
 *     TreeNode() {}
 *     TreeNode(int val) { this.val = val; }
 *     TreeNode(int val, TreeNode left, TreeNode right) {
 *         this.val = val;
 *         this.left = left;
 *         this.right = right;
 *     }
 * }
 */
class Solution {
    public int widthOfBinaryTree(TreeNode root) {
        Deque<TreeNode> queue = new LinkedList<>();
        queue.offer(root);
        int max = 0;
        Map<TreeNode, Integer> map = new HashMap<>();
        map.put(root,1);
        while(!queue.isEmpty()){
            int size = queue.size();
            int begin = -1, end = -1;
            for(int i = 0; i < size; i++){
                TreeNode out = queue.poll();
                int index = map.get(out);
                if (i == 0) {
                        begin = index;
                }
                if (i == size - 1){
                        end = index;
                }
                if (out.left != null) {
                    queue.offer(out.left);
                    map.put(out.left, index * 2);
                }
                if (out.right != null) {
                    queue.offer(out.right);
                    map.put(out.right, index * 2 + 1);
                }
            }
            max = Math.max(max, end - begin + 1);
        }
        return max;

    }
}