每日一题:LeetCode-662. 二叉树最大宽度

57 阅读3分钟

刷题使我快乐,满脸开心.jpg

  • 来源:力扣(LeetCode)
  • 链接:leetcode.cn/problems/ma…
  • 著作权归领扣网络所有。商业转载请联系官方授权,非商业转载请注明出处。

题目

给你一棵二叉树的根节点 root ,返回树的 最大宽度

树的 最大宽度 是所有层中最大的 宽度

每一层的 宽度 被定义为该层最左和最右的非空节点(即,两个端点)之间的长度。将这个二叉树视作与满二叉树结构相同,两端点间会出现一些延伸到这一层的 null 节点,这些 null 节点也计入长度。

题目数据保证答案将会在 32 位 带符号整数范围内。

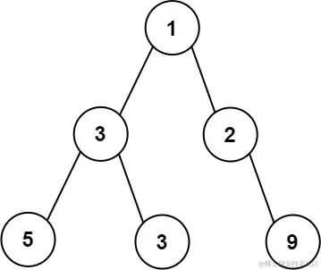
示例 1:

662-1.jpeg
输入:root = [1,3,2,5,3,null,9]
输出:4
解释:最大宽度出现在树的第 3 层,宽度为 4 (5,3,null,9) 。

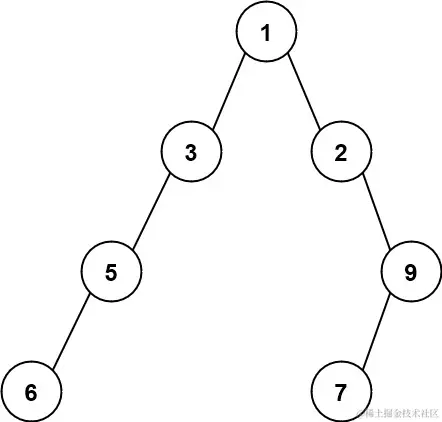
示例 2:

662-2.jpeg
输入:root = [1,3,2,5,null,null,9,6,null,7]
输出:7
解释:最大宽度出现在树的第 4 层,宽度为 7 (6,null,null,null,null,null,7) 。

示例 3:

662-3.jpeg
输入:root = [1,3,2,5]
输出:2
解释:最大宽度出现在树的第 2 层,宽度为 2 (3,2) 。

提示:

  • 树中节点的数目范围是 [1, 3000]
  • -100 <= Node.val <= 100

思路

首先是理解题意,这里直白点翻译下最大宽度

每层中,最左端非空节点和最右端非空节点之间,假设是满二叉树情况下的距离。

要素有两个:

  • 最左端非空节点 和 最右端非空节点
  • 满二叉树情况下的距离

这里乍一听可能有点思路丢失,但是如果对二叉树特征了解的话

其实满二叉树的情况下,每个节点的下标都是可以根据父节点计算的

也就是说

只要找最左、最右非空节点,每层的宽度就是可计算的

所以问题转变成了

带着父节点的下标寻找最左、最右非空节点

私以为这种情况下

  • BFS的心智负担是比较小的,而且复杂度也不会太差
  • 带着父节点下标这个问题,构造一个包含节点和对应下标值的结构体就好了~

代码也基本就出来了。老样子,细节在代码注释

代码

type TreeNodeIndex struct {
	Node  *TreeNode
	Index int
}

func widthOfBinaryTree(root *TreeNode) int {
	nodeIdxs := []*TreeNodeIndex{{root, 0}}
	temp := make([]*TreeNodeIndex, 0)
	res := 0
    // 遍历完整棵树的条件
	for len(nodeIdxs) != 0 {
        // 按这里代码的顺序,左节点在前,右节点在后,所以用后面的减前面的
        // 提交时候才发现golang语言里,这个max函数是默认提供的
		res = max(nodeIdxs[len(nodeIdxs)-1].Index-nodeIdxs[0].Index+1, res)
		for _, nodeIdx := range nodeIdxs {
            // 优先放入左节点
			if nodeIdx.Node.Left != nil {
				temp = append(temp, &TreeNodeIndex{
					Node:  nodeIdx.Node.Left,
                    // 左右子节点下标均可计算得出
					Index: 2*nodeIdx.Index + 1,
				})
			}
			if nodeIdx.Node.Right != nil {
				temp = append(temp, &TreeNodeIndex{
					Node:  nodeIdx.Node.Right,
					Index: 2*nodeIdx.Index + 2,
				})
			}
		}
        // 更新每层节点列表
		nodeIdxs = temp
		temp = nil
	}
	return res
}

欢迎关注公众号交流更多题目~

公众号.jpg