GIT merge vs rebase

282 阅读2分钟

背景

git中分支合并的两种方式:merge(合并)和rebase(变基),平时工作中,基本都是使用merge操作,还没有使用过rebase,前几天项目发版执行分支merge操作时,由于某种原因不能再提交新的commit,所以就想到了rebase,将学习过程记录一下。

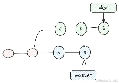
目前项目的分支及提交情况如下: |711

feature分支是本次版本的新功能分支,main分支也存在一些新commit,主要是解决上个版本的线上bug,要发布新版本,需要将feature分支合并到main分支,就以该例子,分析一下merge和rebase是如何进行分支合并的。

merge

执行如下命令,将分支合并

git checkout dev
git merge master

这将在 dev 分支中创建一个新的“合并提交”,将两个分支的历史记录联系在一起,分支结构如下: |766

merge操作是一种非破坏性操作,会保留所有的commit;但会产生一条新的无关的commit,如果master的commit很多,则会污染dev分支的commit,导致分支的commit记录比较乱。

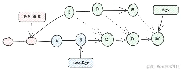
rebase

执行如下命令,将分支变基

git checkout dev
git rebase master

这会将整个 dev 分支移动到 master 分支的顶端,从而有效地将所有新commit合并到 master .但是,变基不是合并commit,而是通过为原始分支中的每个commit创建全新的提交来重写项目历史记录。

git会从masterdev的共同祖先开始提取dev分支上的修改,也就是C和D、E三个提交,先提取到。然后将dev分支指向master分支的最新提交上,也就是B。最后把提取的C和D、E应用到B上(依次拿B和C、D、内容分别比较,处理冲突后生成新的C’和D’、E‘)。

|800

rebase操作并不会产生新的commit,并且从上图也可以看出,rebase操作后,会使commit记录更加清晰。但是,这也会导致提交记录无法追溯。

黄金法则

什么情况适合使用merge,什么情况下适合rebase,下面是一些黄金法则:

  • 使用 merge 保留分支完整历史,适用于公共分支合并。
  • 使用 rebase 保持干净的提交历史,适用于私有分支和个人工作。