【51单片机】PID控制算法

250 阅读1分钟

一、PID概要

1、引入

流量稳定、调整流量

2、适用系统

二阶以内的线性系统

线性系统:满足齐次性和叠加性

齐次性:y=f(x)y=f(x)ky=f(kx)ky=f(kx)

叠加性:y1=f(x1),y2=f(x2)y_1=f(x_1),y_2=f(x_2)y1+y2=f(x1)+f(x2)=f(x1+x2)y_1+y_2=f(x_1)+f(x_2)=f(x_1+x_2)

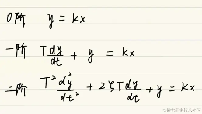
一阶系统:

二阶系统:

3、宏观意义

简单、无需精确建模

二、PID基本知识

1、控制系统概述

1)开环控制系统

一般开环控制系统

前馈控制系统

2)闭环控制系统

单闭环

双闭环

3)复合控制系统

前馈-反馈复合控制系统

2、连续与离散信号

1)图形表示

2)信号算式表示

三、PID公式

1、抽象解释

2、形象解释

1)单P控制

2)PID控制

3、其余相关知识

1)积分限幅

对于积分的最大值进行限制

2)积分分离

对于误差的范围进行限制,超出范围不进行积分

3)微分先行

消除期望高度突变的影响