二叉树题目汇总🎄(二、回溯形象描述、回溯的使用场景)

529 阅读10分钟

接着上一篇的二叉树相关题目,本节继续列举有关二叉树的题目。

首先是巩固之前学到的,本章节的重点是学习二叉树中的回溯思想

还是结论先行👇

总结

  • 二叉树的回溯多与路径相关。
  • 二叉树中回溯的使用场景是:我们依赖一个变量,该变量存储的是当前节点的某个信息,而且该变量还是递归的入参,此时我们为了保证他在递归返回时值不发生变化,因此需要回溯递归前的操作。
    • 确定递归需不需要入参时,往往考虑的是:该入参需要作为判断终止条件的辅助数据或需要在终止条件中使用
    • 一旦该入参代表的含义为当前节点的某些信息时,往往需要回溯,因此可以总结为:入参+递归+回溯往往同时出现
  • 回溯的形象描述:将二叉树想象成一条树状的有积雪的马路,每当遇到一个分岔口时(二叉树的每个节点都可能是分岔口),我们先选择一条路前进(左子树/右子树),走到尽头时(叶子节点或遇到其他终止条件),我们要回到之前的分岔口(return)然后向另一条路探索,在回去的路上清理留下的脚步(回溯)。
  • 当我们规定了当前的参数的含义,在整个递归过程中一定要保证其含义不变(循环不变量)。

复习--LeetCode-100.相同的树

给你两棵二叉树的根节点 p 和 q ,编写一个函数来检验这两棵树是否相同。

这里与对称二叉树十分类似,都是需要两个节点指针进行比较。 我们可以使用层序遍历来解决,但是这里主要给出递归的思考与实现。

递归

递归分析:

  • 返回值和入参:返回当前两个子节点所代表的子树是否相同,入参为左子树根和右子树根
  • 终止条件:
    • 当两个节点都为空 true
    • 两个节点有一个节点不为空 false
    • 两个节点值不相同 false
  • 单层递归逻辑:此时两个节点都存在并且值相同
    • 递归p树的左子树和q树的左子树是否相同
    • 递归p树的右子树和q树的右子树是否相同
    • 返回当前节点所代表树是否相同,由于此时当前节点已经相同,因此只需要其子树是否也相同的信息即可

实现:

function compareRecursive(leftNode, rightNode) {
  if (!leftNode && !rightNode) return true;
  if (!leftNode || !rightNode) return false;
  if (leftNode.val !== rightNode.val) return false;

  //左
  const isSameLeft = compareRecursive(leftNode.left, rightNode.left);
  //右
  const isSameRight = compareRecursive(leftNode.right, rightNode.right);
  //中
  const isSame = isSameLeft && isSameRight;
  return isSame;
}
var isSameTree = function (p, q) {
  return compareRecursive(p, q);
};

在上述递归分析中,你可能会想只要我判断出一个false就可以直接返回了,没错,这里可以利用我们之前所学习的中断递归的方法:判断+return

我们并没有分析使用什么遍历方式,希望你能自己分析出来,由于我们每次递归判断的是当前节点所代表子树是否相同,因此需要子树的信息,那么后序显而易见。

回溯

LeetCode-257.二叉树的所有路径

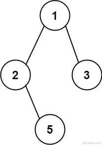
给你一个二叉树的根节点 root ,按 任意顺序 ,返回所有从根节点到叶子节点的路径。

如下示例:输出["1->2->5","1->3"]

paths-tree.jpg

这道题不简单,利用到了回溯的思想,先不总结回溯,我们先按照之前所学求解本题。

首先明确使用什么方法遍历二叉树?

这里我们确定一条路径一定是遇到了叶子节点,此外,我们还需要收集到达该叶子节点所经过的所有节点。针对这个想法,我想前序遍历可能更加合适,只需要判断当前是否是叶子节点,如果是叶子节点就将所收集的路径节点format为一条路径,然后去寻找下一个叶子节点。

但是会遇到问题,我们找到了第一条路径后,当前收集的路径节点需要更新,我们怎么更新?

  • 想法一:清空所有路径节点。如果这样做,你下一次遇到某个叶子节点时,此时路径集合中保留的路径是不完整的。
  • 想法二:只清空当前叶子节点。如果这样,你再遍历到一条具有新的路径的叶子节点时,会保留之前的路径而使结果错误。

递归+回溯

以上两种想法都无法实现,现在一个可行的办法应该是:在递归遍历中:如果当前节点不是叶子节点,那么应该继续向其左子树和右子树递归遍历,假设此时遍历的是左子树,先将当前节点加入路径节点集合,然后进行递归,每次递归结束说明已经找到了一条路径,当递归返回时,我们再将之前的这个节点弹出节点集合就能实现了。

这就是回溯的思想,可能文字晦涩难懂,看看下面这张图再理解一下:

  • 这里粉色箭头表示向左右孩子进行递归,绿色箭头表示回溯,path为经过的结点集合
  • 实际上这里已经不是前序遍历了,例如节点1,我们在递归其左子树前需要将当前节点加入集合,然后当回溯回来后,我们还要递归其右子树,递归前又需要将当前节点加入集合。

image.png

结合代码再来理解一下:

function getPathsRecursive(node, pathNodes, path) {
  //----终止条件
  if (!node) return;
  //是叶子节点
  if (!node.left && !node.right) {
    //收集路径
    let curPath = "";
    for (let pathNode of pathNodes) {
      curPath += pathNode.val + "->"
    }
    curPath += node.val;
    path.push(curPath);
  }

  //----单层递归逻辑
  if (node.left) {
    pathNodes.push(node);
    getPathsRecursive(node.left, pathNodes, path);
    //回溯
    pathNodes.pop();
  }
  if (node.right) {
    pathNodes.push(node);
    getPathsRecursive(node.right, pathNodes, path);
    //回溯
    pathNodes.pop();
  }
}
var binaryTreePaths = function (root) {
  const path = [];
  getPathsRecursive(root, [], path);
  return path;
};

现在应该会有点感觉了吧,二叉树的回溯往往与路径相关,本题就是如此,我们需要获得每条路径,而每当遇到一个分岔口时(二叉树的每个节点都可能是分岔口),我们先选择一条路前进(左子树/右子树),走到尽头时(叶子节点或遇到其他终止条件),我们要回到之前的分岔口(return)向另一条路探索,在回去的路上清理留下的脚步(回溯)。

image.png

LeetCode-513.找树左下角的值

给定一个二叉树的 根节点 root,请找出该二叉树的 最底层 最左边 节点的值。

这里说的是最底层且最左边的,那么容易想到利用层序遍历,最后一层时返回队列第一个节点就是最底层最左边的节点了。

使用递归如何寻找最底层?利用节点的深度进行判断,深度最大的叶子节点就是最底层的节点,而至于最左边,无论我们采用什么序遍历,都是先左后右,因此只要当遇到了这个深度最大的叶子节点时就可以直接返回了。

问题来到了求深度最大的叶子节点,这道题不像之前求二叉树的最大深度了,因为当时我们使用的是后序遍历求根节点的高度,此时求最大深度的叶子节点应该如何做? 分析递归:

  • 外层变量:maxDepth 存储当前遍历的所有节点中,叶子节点的最大的深度;res 存储最大深度叶子节点的值
  • 返回值和入参:无返回值(不需要像后序一样借助左右子树的信息,结果在外层变量中),由于需要判断当前叶子节点深度和当前最大深度的大小关系,因此需要入参深度 depth: 代表当前节点深度;
  • 终止条件:
    • 如果是叶子节点,与最大深度比较,更新maxDepth; res; 返回当前深度
  • 单层循环逻辑:
    • 每递归向下一个节点都将深度+1
    • 一定是先左后右,保证遇到最底层叶子节点时,触发终止条件的是最左边的节点

如上分析对应的代码如下:

image.png

并不能AC,因为我们的深度一直在增加,我们遇到了第一个叶子节点后更新了答案,然后继续向下寻找叶子节点时,depth并没有重置为当前节点的深度。

恍然大悟了嘛,此时我们再继续寻找的时候应该回溯depth;

递归 + 回溯

那么,

  • 单层循环逻辑变为:
    • 每递归向下一个节点都将深度+1
    • 一定是先左后右,保证遇到最底层叶子节点时,触发终止条件的是最左边的节点
    • 递归返回时,深度-1,即保证当前节点的深度depth不变;(有点循环不变量的味道了)

实现:

var findBottomLeftValue = function (root) {
  let maxDepth = -Infinity;
  let res = root.val;
  function recusiveDepth(node, depth) {
    //----终止条件
    if (!node.left && !node.right) {
      if (depth > maxDepth) {
        maxDepth = depth;
        res = node.val;
      }
      return;
    }

    //单层循环逻辑
    if (node.left) {
      depth += 1
      recusiveDepth(node.left, depth);
      //回溯
      depth -= 1;
    }
    if (node.right) {
      depth += 1
      recusiveDepth(node.right, depth);
      //回溯
      depth -= 1;
    }
  }
  recusiveDepth(root, 1);
  return res;
};

再来总结一下回溯:回溯使用在我们依赖一个变量,该变量存储的是当前节点的某个信息,而且该变量还是递归的入参(终止条件需要该入参辅助),此时我们为了保证他在递归返回时值不发生变化,因此需要回溯递归前的操作;

LeetCode-112.路径总和

给你二叉树的根节点 root 和一个表示目标和的整数 targetSum 。判断该树中是否存在 根节点到叶子节点 的路径,这条路径上所有节点值相加等于目标和 targetSum 。如果存在,返回 true ;否则,返回 false

分析:

  • 我们的目标是找到一条和为targetSum的路径,有关路径,
  • 每到一个节点时,记录当前经过的节点总和是必要的,并且会作为终止条件在下一次递归时判断,因此要作为参数

都跟我们之前总结的相关,显而易见的回溯

递归+回溯

递归分析:

  • 返回值和入参:
    • 返回当前路径和是否等于目标值
    • 入参:node当前节点; curSum 到达当前节点的路径总和
  • 终止条件:
    • 当前节点为叶子节点,且路径总和为目标值时 true
  • 单层递归逻辑:
    • 如果存在左子节点,将curSum+左子节点值 传入下次递归
    • 我们一旦找到了一条符合的路径,此时应该将结果返回出去,因此需要中断递归
    • 递归返回后回溯curSum
    • 右子节点同理

实现:

function hasPathSumRecursive(node, curSum, targetSum) {
  //----终止条件
  //叶子节点且当前值等于目标值
  if (!node.left && !node.right && curSum === targetSum) return true;

  //----单层递归逻辑
  if (node.left) {
    curSum += node.left.val;
    const res = hasPathSumRecursive(node.left, curSum, targetSum);
    //中断递归
    if (res) return res;
    //回溯
    curSum -= node.left.val;
  }

  if (node.right) {
    curSum += node.right.val;
    const res = hasPathSumRecursive(node.right, curSum, targetSum);
    //中断
    if (res) return res;
    //回溯
    curSum -= node.right.val;
  }
  return false;
}
var hasPathSum = function (root, targetSum) {
  if (!root) return false;
  //注意curSum的定义
  return hasPathSumRecursive(root, root.val, targetSum);
};

从本题中可以总结出:当我们规定了当前的参数的含义时,那么在整个递归过程中一定要保证其含义(循环不变量),如:本题中我们回溯的目标为curSum,他表示的是到达当前节点且包括当前节点所经过路径的总和,那么我们在一开始调用时,传入的就是root.val,并且在进入下一个递归前,我们加的是左/右子节点的值(因为我们要递归左/右子节点了,因此传入时要保证在递归的时候这个值的正确性);