寒冬,拒绝薪资倒挂

13,665 阅读6分钟

写在前面

今天翻看小 🍠 的时候,无意发现两组有趣数据:

一个是,互联网大厂月薪分布:

月薪分布

另一个是,国内互联网大厂历年校招薪资与福利汇总:

研发

算法

中概互联网的在金融市场的拐点。

是在 2021 年,老美出台《外国公司问责法案》开始的。

那时候,所有在美上市的中概股面临摘牌退市,滴滴上市也被叫停。

拐点从资本市场反映到劳动招聘市场,是有滞后性的,如果没有 ChatGPT 的崛起,可能寒冬还会来得更凛冽些 ...

时代洪流的走向,我们无法左右,能够把握的,只有做好自己。

如何在寒冬来之不易的机会中,谈好待遇,拒绝薪资倒挂 🙅🏻‍♀️🙅

一方面:减少信息差,在谈判的中后期,多到职场类社区论坛(牛客/小红书/脉脉/offershow)中,了解情况

另一方面:增加自身竞争力,所有技巧在绝对实力面前,都不堪一击,如果能在笔面阶段,和其他候选人拉开足够差距,或许在后续博弈中,需要知道的套路就会越少

增强自身竞争力,尤其是走校招路线的小伙伴,建议从「算法」方面进行入手。

下面给大家分享一道常年在「字节跳动」题库中霸榜的经典题。

题目描述

平台:LeetCode

题号:25

给你一个链表,每 k 个节点一组进行翻转,请你返回翻转后的链表。

k 是一个正整数,它的值小于或等于链表的长度。

如果节点总数不是 k 的整数倍,那么请将最后剩余的节点保持原有顺序。

示例 1:

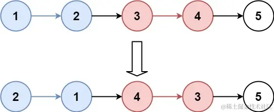
输入:head = [1,2,3,4,5], k = 2

输出:[2,1,4,3,5]

示例 2: img

输入:head = [1,2,3,4,5], k = 3

输出:[3,2,1,4,5]

提示:

  • 列表中节点的数量在范围 sz
  • 1<=sz<=50001 <= sz <= 5000
  • 0<=Node.val<=10000 <= Node.val <= 1000
  • 1<=k<=sz1 <= k <= sz

进阶:

  • 你可以设计一个只使用常数额外空间的算法来解决此问题吗?
  • 你不能只是单纯的改变节点内部的值,而是需要实际进行节点交换。

迭代(哨兵技巧)

哨兵技巧我们在前面的多道链表题讲过,让三叶来帮你回忆一下:

做有关链表的题目,有个常用技巧:添加一个虚拟头结点(哨兵),帮助简化边界情况的判断。

链表和树的题目天然适合使用递归来做。

但这次我们先将简单的「递归版本」放一放,先搞清楚迭代版本该如何实现。

我们可以设计一个翻转函数 reverse

传入节点 root 作为参数,函数的作用是将以 root 为起点的 kk 个节点进行翻转。

当以 root 为起点的长度为 kk 的一段翻转完成后,再将下一个起始节点传入,直到整条链表都被处理完成。

当然,在 reverse 函数真正执行翻转前,需要先确保节点 root 后面至少有 kk 个节点。

我们可以结合图解再来体会一下这个过程:

假设当前样例为 1->2->3->4->5->6->7k = 3640.png

然后我们调用 reverse(cur, k),在 reverse() 方法内部,几个指针的指向如图所示,会通过先判断 cur 是否为空,从而确定是否有足够的节点进行翻转:

然后先通过 while 循环,将中间的数量为 k - 1 的 next 指针进行翻转:

最后再处理一下局部的头结点和尾结点,这样一次 reverse(cur, k) 执行就结束了:

回到主方法,将 cur 往前移动 k 步,再调用 reverse(cur, k) 实现 k 个一组翻转:

Java 代码:

class Solution {
    public ListNode reverseKGroup(ListNode head, int k) {
        ListNode dummy = new ListNode(-1);
        dummy.next = head;
        ListNode cur = dummy;
        while (cur != null) {
            reverse(cur, k);
            int u = k;    
            while (u-- > 0 && cur != null) cur = cur.next;
        }
        return dummy.next;
    }
    // reverse 的作用是将 root 后面的 k 个节点进行翻转
    void reverse(ListNode root, int k) {
        // 检查 root 后面是否有 k 个节点
        int u = k;
        ListNode cur = root;
        while (u-- > 0 && cur != null) cur = cur.next;
        if (cur == null) return;
        // 进行翻转
        ListNode tail = cur.next;
        ListNode a = root.next, b = a.next;
        // 当需要翻转 k 个节点时,中间有 k - 1 个 next 指针需要翻转
        while (k-- > 1) {
            ListNode c = b.next;
            b.next = a;
            a = b;
            b = c;
        }
        root.next.next = tail;
        root.next = a;
    }
}

C++ 代码:

class Solution {
public:
    ListNode* reverseKGroup(ListNode* head, int k) {
        ListNode* dummy = new ListNode(-1);
        dummy->next = head;
        ListNode* cur = dummy;
        while (cur != NULL) {
            reverse(cur, k);
            int u = k;
            while (u-- > 0 && cur != NULL) cur = cur->next;
        }
        return dummy->next;
    }
    // reverse 的作用是将 root 后面的 k 个节点进行翻转
    void reverse(ListNode* root, int k) {
        // 检查 root 后面是否有 k 个节点
        int u = k;
        ListNode* cur = root;
        while (u-- > 0 && cur != NULL) cur = cur->next;
        if (cur == NULL) return;
        // 进行翻转
        ListNode* tail = cur->next;
        ListNode* a = root->next, *b = a->next;
        // 当需要翻转 k 个节点时,中间有 k - 1 个 next 指针需要翻转
        while (k-- > 1) {
            ListNode* c = b->next;
            b->next = a;
            a = b;
            b = c;
        }
        root->next->next = tail;
        root->next = a;
    }
};

Python 代码:

class Solution:
    def reverseKGroup(self, head: Optional[ListNode], k: int) -> Optional[ListNode]:
        # reverse 的作用是将 root 后面的 k 个节点进行翻转
        def reverse(root, k):
            # 检查 root 后面是否有 k 个节点
            u, cur = k, root
            while u > 0 and cur:
                cur = cur.next
                u -= 1
            if not cur: return
            # 进行翻转
            tail = cur.next
            a, b = root.next, root.next.next
            # 当需要翻转 k 个节点时,中间有 k - 1 个 next 指针需要翻转
            while k > 1:
                c, b.next = b.next, a
                a, b = b, c
                k -= 1
            root.next.next = tail
            root.next = a

        dummy = ListNode(-1)
        dummy.next = head
        cur = dummy
        while cur:
            reverse(cur, k)
            u = k
            while u > 0 and cur:
                cur = cur.next
                u -= 1
        return dummy.next

TypeScript 代码:

function reverseKGroup(head: ListNode | null, k: number): ListNode | null {
    // reverse 的作用是将 root 后面的 k 个节点进行翻转
    const reverse = function(root: ListNode | null, k: number): void {
        // 检查 root 后面是否有 k 个节点
        let u = k, cur = root;
        while (u-- > 0 && cur != null) cur = cur.next;
        if (cur == null) return;
        // 进行翻转
        let tail = cur.next, a = root.next, b = a.next;
        // 当需要翻转 k 个节点时,中间有 k - 1 个 next 指针需要翻转
        while (k-- > 1) {
            let c = b.next;
            b.next = a;
            a = b;
            b = c;
        }
        root.next.next = tail;
        root.next = a;
    };
    let dummy = new ListNode(-1);
    dummy.next = head;
    let cur = dummy;
    while (cur != null) {
        reverse(cur, k);
        let u = k;
        while (u-- > 0 && cur != null) cur = cur.next;
    }
    return dummy.next;
};
  • 时间复杂度:会将每个节点处理一遍。复杂度为 O(n)O(n)
  • 空间复杂度:O(1)O(1)

递归

搞懂了较难的「迭代哨兵」版本之后,常规的「递归无哨兵」版本写起来应该更加容易了。

需要注意的是,当我们不使用「哨兵」时,检查是否足够 kk 位,只需要检查是否有 k1k - 1nextnext 指针即可。

代码:

class Solution {
    public ListNode reverseKGroup(ListNode head, int k) {
        int u = k;
        ListNode p = head;
        while (p != null && u-- > 1) p = p.next;
        if (p == null) return head;
        ListNode tail = head;
        ListNode prev = head, cur = prev.next;
        u = k;
        while (u-- > 1) {
            ListNode tmp = cur.next;
            cur.next = prev;
            prev = cur;
            cur = tmp;
        }
        tail.next = reverseKGroup(cur, k);
        return prev;
    }
}

C++ 代码:

class Solution {
public:
    ListNode* reverseKGroup(ListNode* head, int k) {
        int u = k;
        ListNode* p = head;
        while (p != NULL && u-- > 1) p = p->next;
        if (p == NULL) return head;
        ListNode* tail = head;
        ListNode* prev = head, *cur = prev->next;
        u = k;
        while (u-- > 1) {
            ListNode* tmp = cur->next;
            cur->next = prev;
            prev = cur;
            cur = tmp;
        }
        tail->next = reverseKGroup(cur, k);
        return prev;
    }
};

Python 代码:

class Solution:
    def reverseKGroup(self, head: Optional[ListNode], k: int) -> Optional[ListNode]:
        u = k
        p = head
        while p and u > 1:
            p = p.next
            u -= 1
        if not p: return head

        tail = prev = head
        cur = prev.next
        u = k
        while u > 1:
            tmp = cur.next
            cur.next = prev
            prev, cur = cur, tmp
            u -= 1
        tail.next = self.reverseKGroup(cur, k)
        return prev

TypeScript 代码:

function reverseKGroup(head: ListNode | null, k: number): ListNode | null {
    let u = k;
    let p = head;
    while (p != null && u-- > 1) p = p.next;
    if (p == null) return head;
    let tail = head, prev = head, cur = prev.next;
    u = k;
    while (u-- > 1) {
        let tmp = cur.next;
        cur.next = prev;
        prev = cur;
        cur = tmp;
    }
    tail.next = reverseKGroup(cur, k);
    return prev;
};
  • 时间复杂度:会将每个节点处理一遍。复杂度为 O(n)O(n)
  • 空间复杂度:只有忽略递归带来的空间开销才是 O(1)O(1)

更多更全更热门的「笔试/面试」相关资料可访问排版精美的 合集新基地 🎉🎉